🇳🇴 🇬🇧 🇩🇪 🇨🇿 🇫🇮

Meteor Klintehamnin yllä 2025-10-13 23:49:33 UTC

KML-tiedosto  |  Interaktiivinen kartta

Kartta näyttää meteorin suuntahavainnot. Vaaleammat viivat näyttävät suunnat havaintoasemilta meteorin ilmestyessä, ja tummemmat viivat näyttävät, missä se viimeksi nähtiin. Sininen nuoli näyttää meteorin näkyvän lennon.

static map
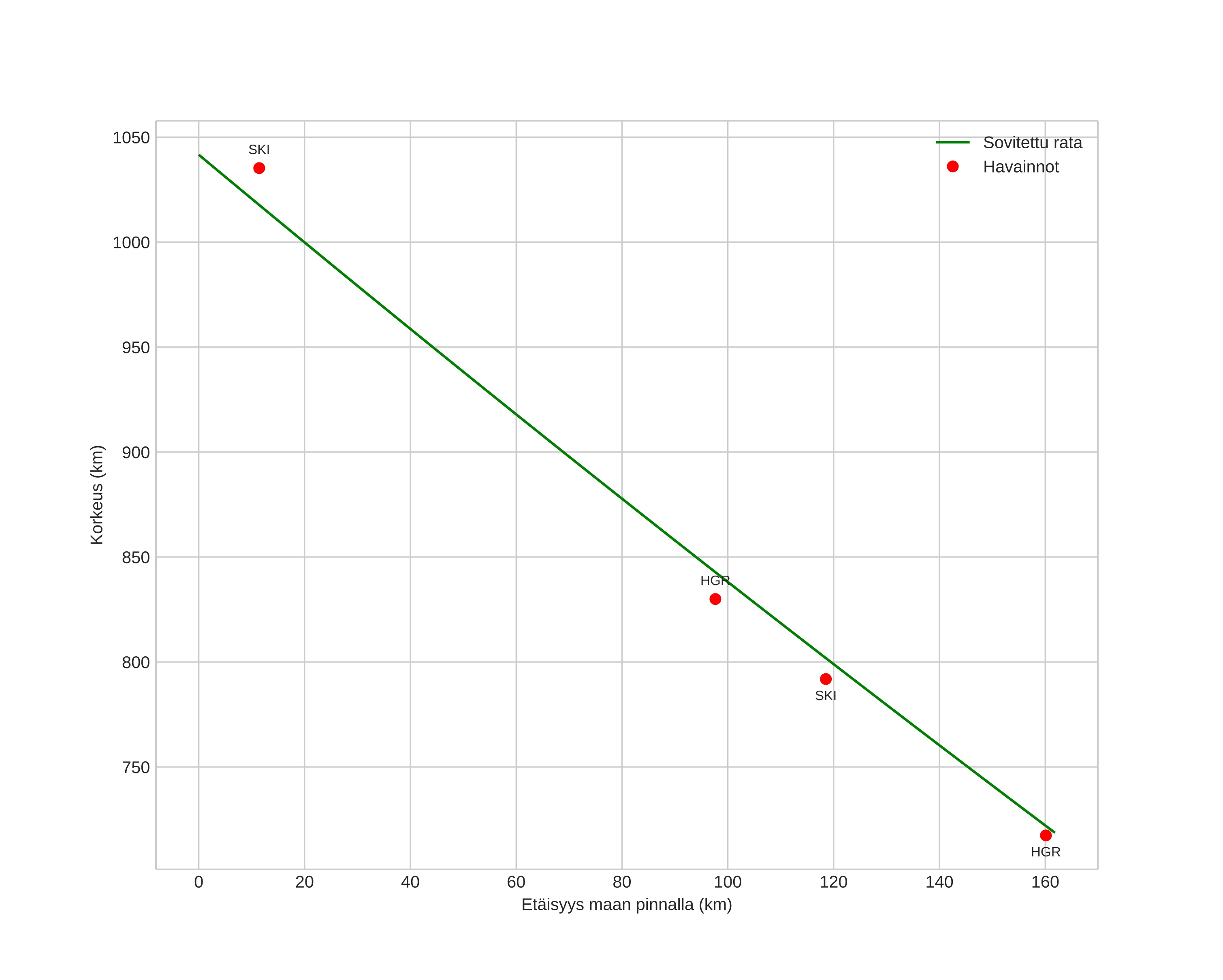
height profile
Meteorin ilmakehärata:
Alkukorkeus: 1036,0 km
Loppukorkeus: 705,9 km
Alkupiste: 57,720N 15,778E
Loppupiste: 57,420N 18,328E
Suunta: 101,3°
Kallistuskulma: 64,8°
Tulonopeus: 256,1 km/s
Radiantin R,A,: 23:20 (350,2°)
Radiantin Dekl,: 53,7°
Meteoriparvi: Sporadinen
Meteoroidin rataelementit:
Perihelietäisyys: 0,777 AU
Eksentrisyys: 57,617
Inklinaatio: 82,2°
Nousevan solmun pituus: 200,5°
Perihelin argumentti: 219,2°
Keskianomalia: -2592,1°
Epookki: 2025 OCT 13 23:49:33
orbit plot

Ei-interaktiivinen kuvaaja | Interaktiivinen kuvaaja

position vs time
speed and acceleration

Hagar (HGR) cam6


gnomonic
Videot:
• Gnomoninen
• Gnomoninen koordinaateilla
• Alkuperäinen
• Alkuperäinen koordinaateilla
Kuvat:
• Gnomoninen
• Gnomoninen koordinaateilla
• Alkuperäinen
• Alkuperäinen koordinaateilla
Tekstitiedostot:
• Havaintoraportti
• Observaatio
• Koordinaatit
• Loki
Kirkkaus

Skibotn (SKI) cam4


gnomonic
Videot:
• Gnomoninen
• Gnomoninen koordinaateilla
• Alkuperäinen
• Alkuperäinen koordinaateilla
Kuvat:
• Gnomoninen
• Gnomoninen koordinaateilla
• Alkuperäinen
• Alkuperäinen koordinaateilla
Tekstitiedostot:
• Havaintoraportti
• Observaatio
• Koordinaatit
• Loki
Kirkkaus