🇳🇴 🇬🇧 🇩🇪 🇨🇿 🇫🇮

Meteor über Svelgen 2025-10-14 01:45:20 UTC

KML-Datei  |  Interaktive Karte

Die Karte zeigt die Peilungen für den Meteor. Die helleren Linien zeigen die Richtungen von den Beobachtungsorten beim Erscheinen des Meteors, und die dunkleren Linien, wo er zuletzt gesehen wurde. Der blaue Pfeil zeigt die sichtbare Bahn des Meteors.

static map
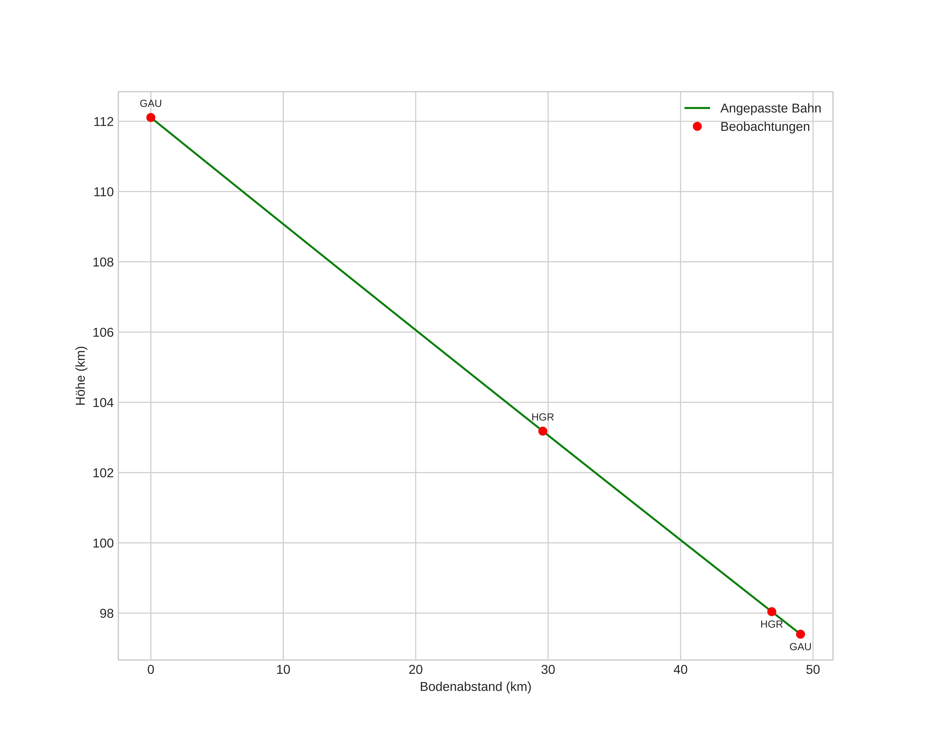
height profile
Atmosphärische Bahn des Meteors:
Anfangshöhe: 106,8 km
Endhöhe: 95,4 km
Startposition: 62,050N 5,821E
Endposition: 61,740N 5,250E
Richtung: 221,2°
Neigungswinkel: 14,0°
Eintrittsgeschwindigkeit: 47,7 km/s
Rektaszension des Radianten: 12:20 (185,1°)
Deklination des Radianten: 32,9°
Meteorstrom: sporadisch
Bahnelemente des Meteoroiden:
Periheldistanz: 0,386 AU
Exzentrizität: 1,012
Inklination: 68,1°
Länge des aufsteigenden Knotens: 200,6°
Argument des Perihels: 77,4°
Mittlere Anomalie: 0,2°
Epoche: 2025 OCT 14 01:45:20
orbit plot

Nicht-interaktives Diagramm | Interaktives Diagramm

position vs time
speed and acceleration

Gaustatoppen (GAU) cam1


gnomonic
Videos
• Gnomonisch
• Gnomonisch mit Koordinaten
• Original
• Original mit Koordinaten
Bilder
• Gnomonisch
• Gnomonisch mit Koordinaten
• Original
• Original mit Koordinaten
Textdateien
• Erkennung
• Beobachtung
• Koordinaten
• Protokoll
Helligkeit

Hagar (HGR) cam1


gnomonic
Videos
• Gnomonisch
• Gnomonisch mit Koordinaten
• Original
• Original mit Koordinaten
Bilder
• Gnomonisch
• Gnomonisch mit Koordinaten
• Original
• Original mit Koordinaten
Textdateien
• Erkennung
• Beobachtung
• Koordinaten
• Protokoll
Helligkeit