🇳🇴 🇬🇧 🇩🇪 🇨🇿 🇫🇮

Meteor over Ekeby-Almby 2025-10-14 18:41:33 UTC

KML-fil

Kartet viser peilingene for meteoren. De lysere linjene viser retningene fra observasjonsstedene for meteorens tilsynekomst, og de mørkere linjene viser hvor den sist kunne sees. Den blå pila viser meteorens synlige ferd.

static map
height profile
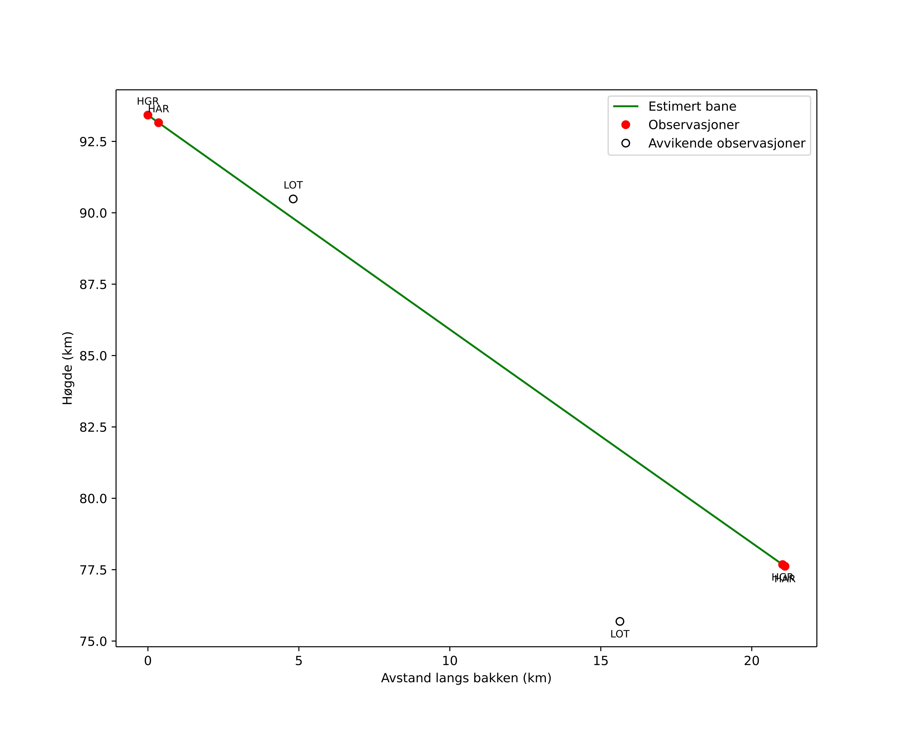
Meteorens atmosfæriske bane:
Starthøgde: 93,4 km
Slutthøgde: 77,6 km
Startposisjon: 59,520N 15,347E
Sluttposisjon: 59,331N 15,309E
Retning: 185,8°
Fallvinkel: 36,8°
Inngangshastighet: 50,8 km/s
Radiantens rektascensjon: 08:30 (127,5°)
Radiantens deklinasjon: 66,5°
Meteorsverm: sporadisk
Meteoroidens baneelement:
Perihelavstand: 0,996 AU
Eksentrisitet: 0,438
Inklinasjon: 97,6°
Knutelengde: 201,3°
Perihelargument: 185,6°
Midlere anomali: 358,0°
Epoke: 2025 OCT 14 18:41:33
orbit plot

Ikke-interaktivt plott

position vs time
speed and acceleration

Hagar (HGR) cam4


gnomonic
Videoer
• Gnomonisk
• Gnomonisk med koordinater
• Original
• Original (HEVC)
• Original med koordinater
Bilder
• Gnomonisk
• Gnomonisk med koordinater
• Original
• Original med koordinater
Tekstfiler
• Deteksjon
• Observasjon
• Koordinater
• Logg
Lysstyrke

Harestua (HAR) cam3


gnomonic
Videoer
• Gnomonisk
• Gnomonisk med koordinater
• Original
• Original (HEVC)
• Original med koordinater
Bilder
• Gnomonisk
• Gnomonisk med koordinater
• Original
• Original med koordinater
Tekstfiler
• Deteksjon
• Observasjon
• Koordinater
• Logg
Lysstyrke

Loten (LOT) cam3


gnomonic
Videoer
• Gnomonisk
• Gnomonisk med koordinater
• Original
• Original (HEVC)
• Original med koordinater
Bilder
• Gnomonisk
• Gnomonisk med koordinater
• Original
• Original med koordinater
Tekstfiler
• Deteksjon
• Observasjon
• Koordinater
• Logg
Lysstyrke