🇳🇴 🇬🇧 🇩🇪 🇨🇿 🇫🇮

Meteor über Skui 2025-10-14 21:43:59 UTC

KML-Datei

Die Karte zeigt die Peilungen für den Meteor. Die helleren Linien zeigen die Richtungen von den Beobachtungsorten beim Erscheinen des Meteors, und die dunkleren Linien, wo er zuletzt gesehen wurde. Der blaue Pfeil zeigt die sichtbare Bahn des Meteors.

static map
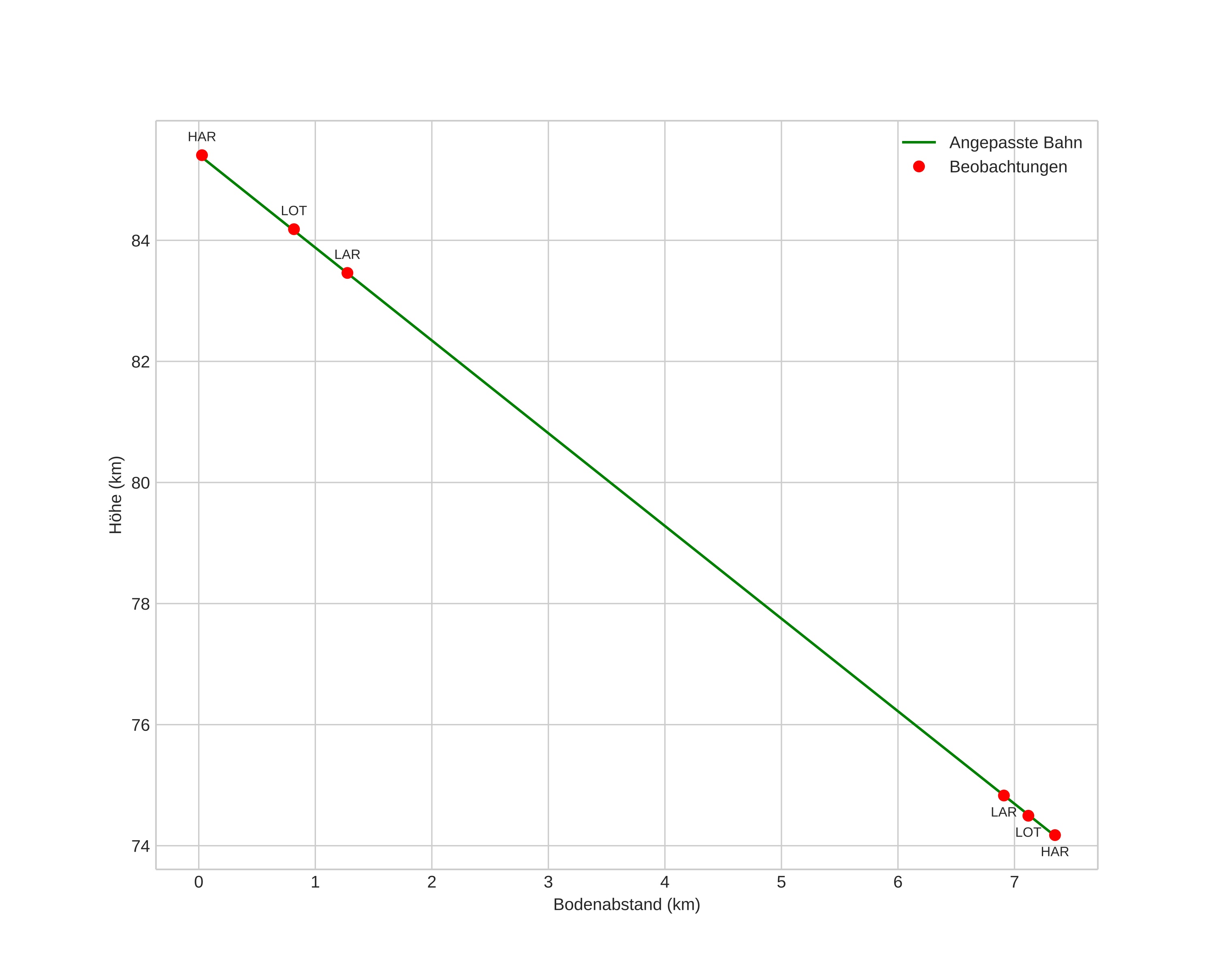
height profile
Atmosphärische Bahn des Meteors:
Anfangshöhe: 85,4 km
Endhöhe: 74,2 km
Startposition: 60,004N 10,425E
Endposition: 60,068N 10,456E
Richtung: 13,6°
Neigungswinkel: 56,8°
Eintrittsgeschwindigkeit: 19,7 km/s
Rektaszension des Radianten: 23:20 (350,2°)
Deklination des Radianten: 23,7°
Meteorstrom: sporadisch
Bahnelemente des Meteoroiden:
Periheldistanz: 0,831 AU
Exzentrizität: 0,720
Inklination: 11,4°
Länge des aufsteigenden Knotens: 201,4°
Argument des Perihels: 233,0°
Mittlere Anomalie: 353,2°
Epoche: 2025 OCT 14 21:43:59
orbit plot

Nicht-interaktives Diagramm

position vs time
speed and acceleration

Harestua (HAR) cam7


gnomonic
Videos
• Gnomonisch
• Gnomonisch mit Koordinaten
• Original
• Original (HEVC)
• Original mit Koordinaten
Bilder
• Gnomonisch
• Gnomonisch mit Koordinaten
• Original
• Original mit Koordinaten
Textdateien
• Erkennung
• Beobachtung
• Koordinaten
• Protokoll
Helligkeit

Larvik (LAR) cam1


gnomonic
Videos
• Gnomonisch
• Gnomonisch mit Koordinaten
• Original
• Original (HEVC)
• Original mit Koordinaten
Bilder
• Gnomonisch
• Gnomonisch mit Koordinaten
• Original
• Original mit Koordinaten
Textdateien
• Erkennung
• Beobachtung
• Koordinaten
• Protokoll
Helligkeit

Loten (LOT) cam7


gnomonic
Videos
• Gnomonisch
• Gnomonisch mit Koordinaten
• Original
• Original (HEVC)
• Original mit Koordinaten
Bilder
• Gnomonisch
• Gnomonisch mit Koordinaten
• Original
• Original mit Koordinaten
Textdateien
• Erkennung
• Beobachtung
• Koordinaten
• Protokoll
Helligkeit