🇳🇴 🇬🇧 🇩🇪 🇨🇿 🇫🇮

Meteor over Rena 2025-10-14 23:25:59 UTC

KML-fil

Kartet viser peilingene for meteoren. De lysere linjene viser retningene fra observasjonsstedene for meteorens tilsynekomst, og de mørkere linjene viser hvor den sist kunne sees. Den blå pila viser meteorens synlige ferd.

static map
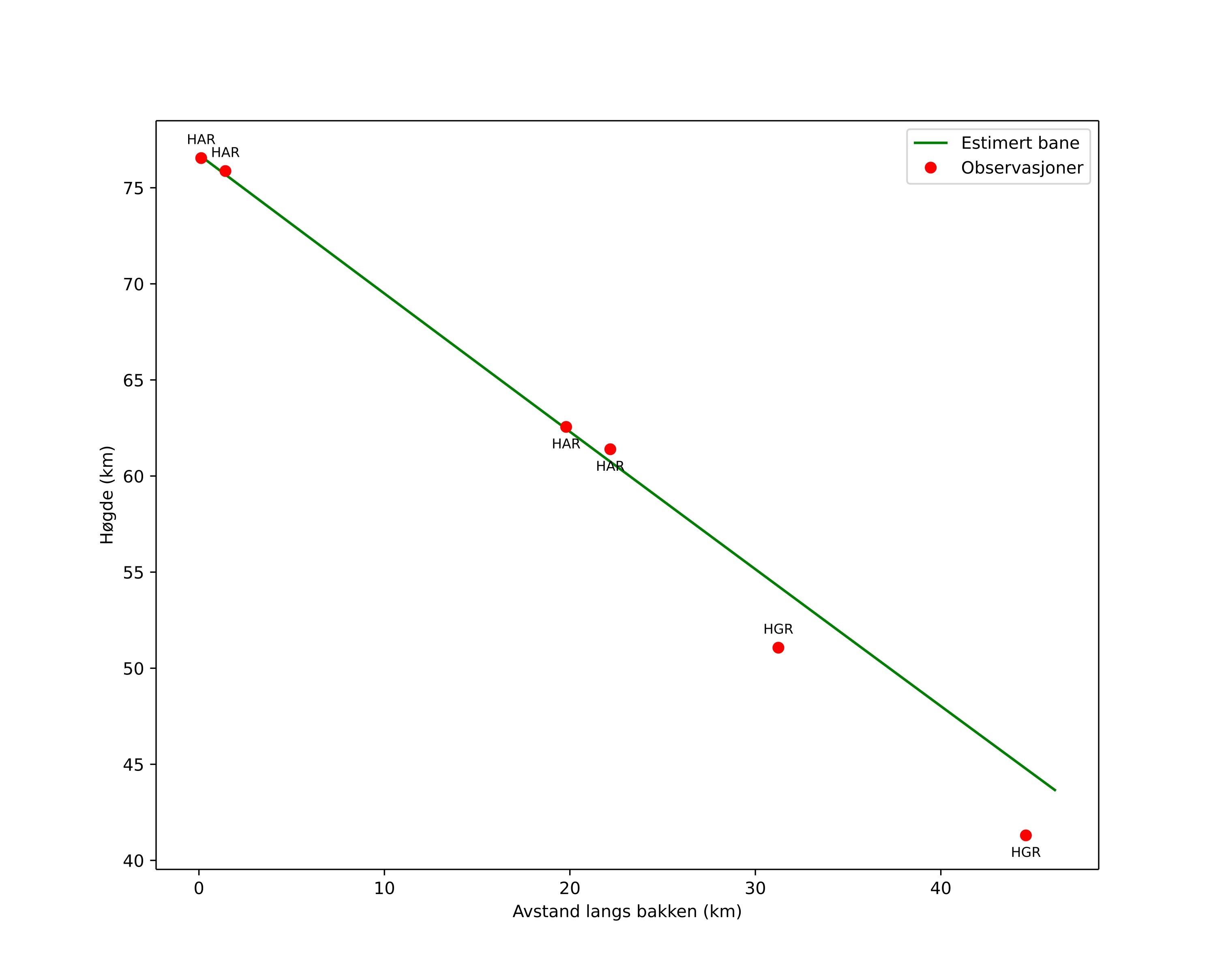
height profile
Meteorens atmosfæriske bane:
Starthøgde: 76,7 km
Slutthøgde: 43,6 km
Startposisjon: 61,125N 12,095E
Sluttposisjon: 60,993N 11,280E
Retning: 251,9°
Fallvinkel: 35,6°
Inngangshastighet: 67,7 km/s
Radiantens rektascensjon: 07:30 (112,6°)
Radiantens deklinasjon: 39,0°
Meteorsverm: sporadisk
Meteoroidens baneelement:
Perihelavstand: 0,984 AU
Eksentrisitet: 0,725
Inklinasjon: 150,0°
Knutelengde: 201,5°
Perihelargument: 194,7°
Midlere anomali: 358,4°
Epoke: 2025 OCT 14 23:25:59
orbit plot

Ikke-interaktivt plott

position vs time
speed and acceleration

Hagar (HGR) cam2


gnomonic
Videoer
• Gnomonisk
• Gnomonisk med koordinater
• Original
• Original (HEVC)
• Original med koordinater
Bilder
• Gnomonisk
• Gnomonisk med koordinater
• Original
• Original med koordinater
Tekstfiler
• Deteksjon
• Observasjon
• Koordinater
• Logg
Lysstyrke

Harestua (HAR) cam1


gnomonic
Videoer
• Gnomonisk
• Gnomonisk med koordinater
• Original
• Original (HEVC)
• Original med koordinater
Bilder
• Gnomonisk
• Gnomonisk med koordinater
• Original
• Original med koordinater
Tekstfiler
• Deteksjon
• Observasjon
• Koordinater
• Logg
Lysstyrke

Harestua (HAR) cam2


gnomonic
Videoer
• Gnomonisk
• Gnomonisk med koordinater
• Original
• Original (HEVC)
• Original med koordinater
Bilder
• Gnomonisk
• Gnomonisk med koordinater
• Original
• Original med koordinater
Tekstfiler
• Deteksjon
• Observasjon
• Koordinater
• Logg
Lysstyrke