🇳🇴 🇬🇧 🇩🇪 🇨🇿 🇫🇮

Meteor Hønefossin yllä 2025-10-14 23:54:06 UTC

KML-tiedosto  |  Interaktiivinen kartta

Kartta näyttää meteorin suuntahavainnot. Vaaleammat viivat näyttävät suunnat havaintoasemilta meteorin ilmestyessä, ja tummemmat viivat näyttävät, missä se viimeksi nähtiin. Sininen nuoli näyttää meteorin näkyvän lennon.

static map
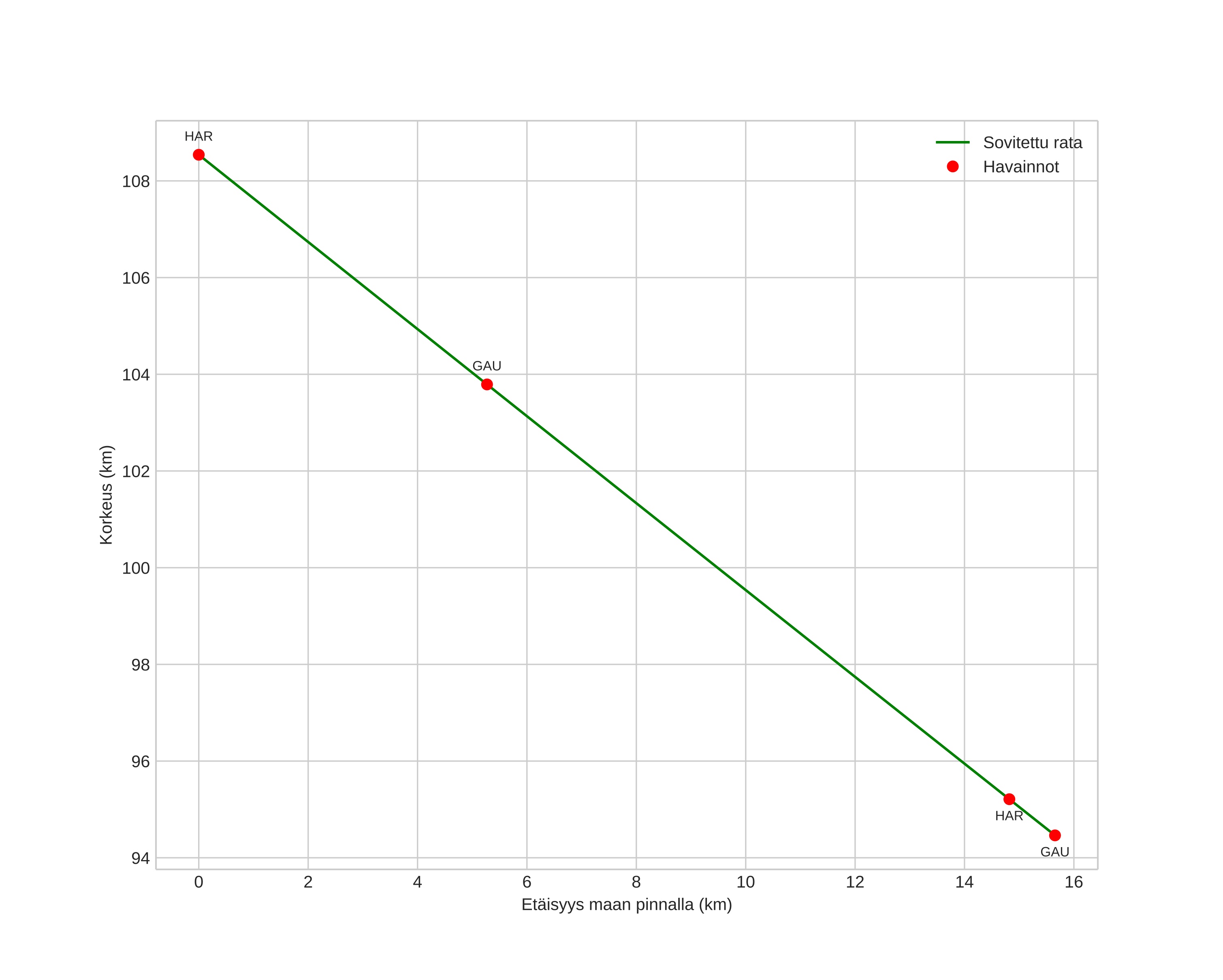
height profile
Meteorin ilmakehärata:
Alkukorkeus: 107,4 km
Loppukorkeus: 93,5 km
Alkupiste: 60,544N 10,239E
Loppupiste: 60,404N 10,174E
Suunta: 192,8°
Kallistuskulma: 41,1°
Tulonopeus: 44,4 km/s
Radiantin R,A,: 12:22 (185,7°)
Radiantin Dekl,: 68,5°
Meteoriparvi: Sporadinen
Meteoroidin rataelementit:
Perihelietäisyys: 0,942 AU
Eksentrisyys: 0,793
Inklinaatio: 74,1°
Nousevan solmun pituus: 201,5°
Perihelin argumentti: 151,1°
Keskianomalia: 2,1°
Epookki: 2025 OCT 14 23:54:06
orbit plot

Ei-interaktiivinen kuvaaja | Interaktiivinen kuvaaja

position vs time
speed and acceleration

Gaustatoppen (GAU) cam6


gnomonic
Videot:
• Gnomoninen
• Gnomoninen koordinaateilla
• Alkuperäinen
• Alkuperäinen koordinaateilla
Kuvat:
• Gnomoninen
• Gnomoninen koordinaateilla
• Alkuperäinen
• Alkuperäinen koordinaateilla
Tekstitiedostot:
• Havaintoraportti
• Observaatio
• Koordinaatit
• Loki
Kirkkaus

Harestua (HAR) cam6


gnomonic
Videot:
• Gnomoninen
• Gnomoninen koordinaateilla
• Alkuperäinen
• Alkuperäinen koordinaateilla
Kuvat:
• Gnomoninen
• Gnomoninen koordinaateilla
• Alkuperäinen
• Alkuperäinen koordinaateilla
Tekstitiedostot:
• Havaintoraportti
• Observaatio
• Koordinaatit
• Loki
Kirkkaus