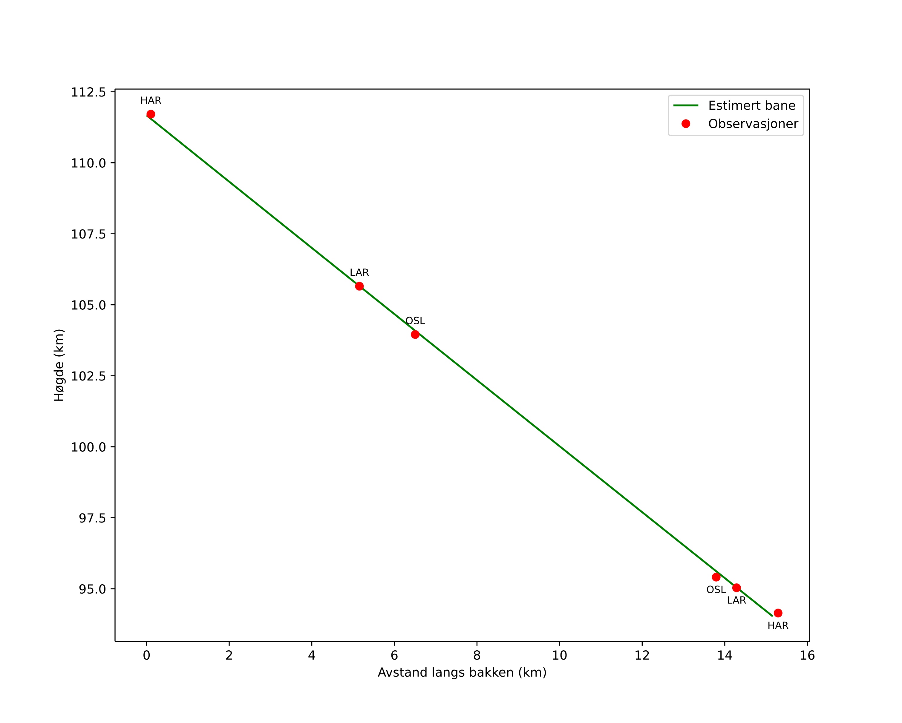
Atmosférická dráha meteoru:
| Počátečnà výška: | 111,8 km |
| Konečná výška: | 94,3 km |
| Počátečnà poloha: | 59,302N 8,595E |
| Konečná poloha: | 59,310N 8,325E |
| Směr: | 273,6° |
| Sklon: | 48,7° |
| VstupnĂ rychlost: | 71,8 km/s |
| Rektascenze radiantu: | 05:52 (88,0°) |
| Deklinace radiantu: | 38,5° |
| MeteorickĂ˝ roj: | Delta Aurigidy |
|
Elementy dráhy meteoroidu:
| Vzdálenost v periheliu: | 0,693 AU |
| Excentricita: | 1,309 |
| Sklon dráhy: | 150,9° |
| Délka vzestupného uzlu: | 201,5° |
| Argument perihelia: | 242,5° |
| Střednà anomálie: | -9,1° |
| Epocha: | 2025 OCT 14 23:54:56 |
|