🇳🇴 🇬🇧 🇩🇪 🇨🇿 🇫🇮

Meteor over Kviteseid 2025-10-14 23:54:56 UTC

KML file  |  Interactive map

The map shows the bearings for the meteor. The lighter lines show the directions from the observation sites at the meteor's appearance, and the darker lines show where it was last seen. The blue arrow indicates the visible path of the meteor.

static map
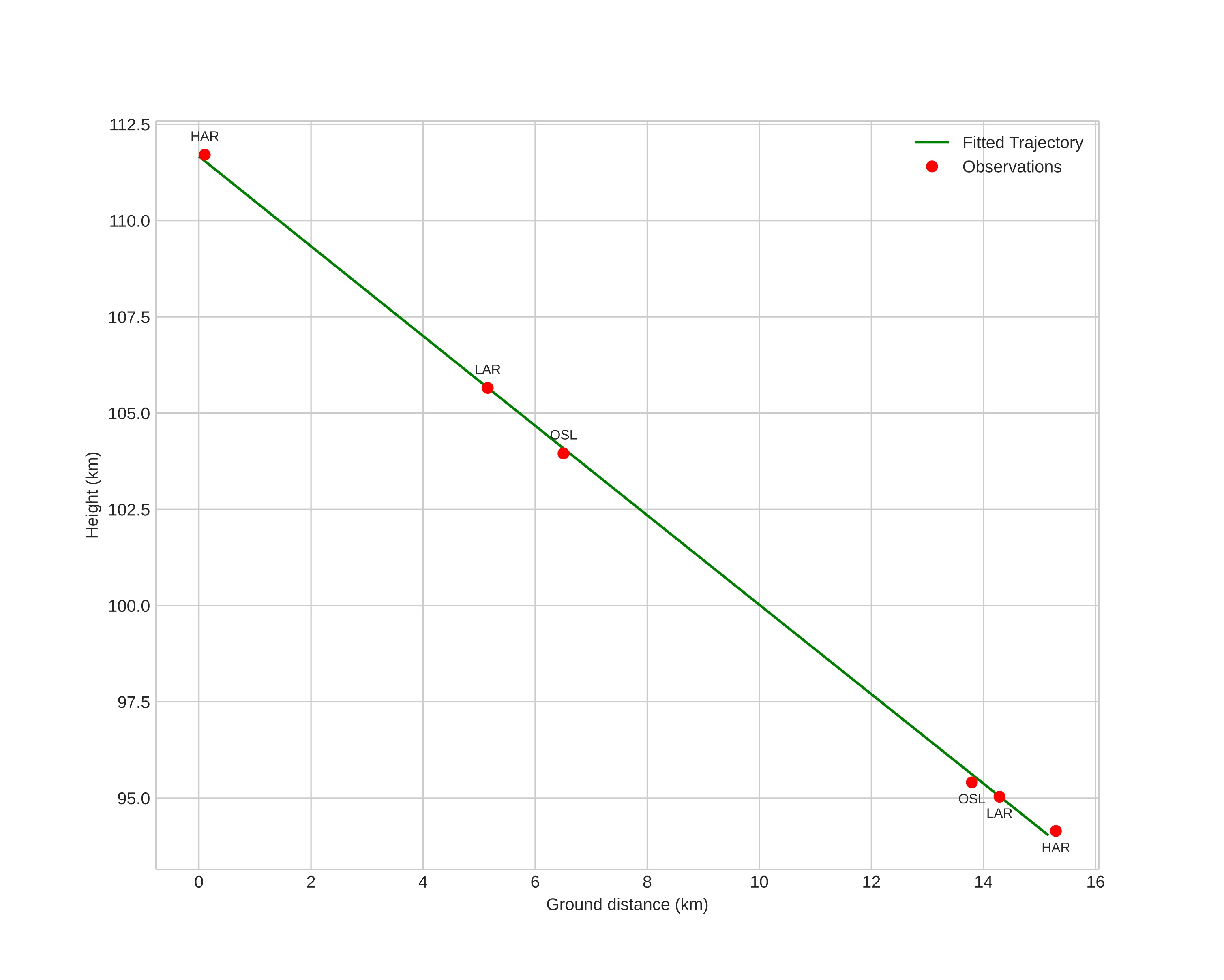
height profile
Meteor's Atmospheric Trajectory:
Start height: 111.8 km
End height: 94.3 km
Start position: 59.302N 8.595E
End position: 59.310N 8.325E
Direction: 273.6°
Inclination angle: 48.7°
Entry speed: 71.8 km/s
Radiant R.A.: 05:52 (88.0°)
Radiant Dec.: 38.5°
Meteor Shower: Delta Aurigids
Meteoroid's Orbital Elements:
Perihelion distance: 0.693 AU
Eccentricity: 1.309
Inclination: 150.9°
Long. of Asc. Node: 201.5°
Argument of Perihelion: 242.5°
Mean Anomaly: -9.1°
Epoch: 2025 OCT 14 23:54:56
orbit plot

Non-interactive plot | Interactive plot

position vs time
speed and acceleration

Harestua (HAR) cam7


gnomonic
Videos
• Gnomonic
• Gnomonic with coordinates
• Original
• Original with coordinates
Images
• Gnomonic
• Gnomonic with coordinates
• Original
• Original with coordinates
Text Files
• Detection
• Observation
• Coordinates
• Log
Brightness

Larvik (LAR) cam6


gnomonic
Videos
• Gnomonic
• Gnomonic with coordinates
• Original
• Original with coordinates
Images
• Gnomonic
• Gnomonic with coordinates
• Original
• Original with coordinates
Text Files
• Detection
• Observation
• Coordinates
• Log
Brightness

Voksenlia (OSL) cam2


gnomonic
Videos
• Gnomonic
• Gnomonic with coordinates
• Original
• Original with coordinates
Images
• Gnomonic
• Gnomonic with coordinates
• Original
• Original with coordinates
Text Files
• Detection
• Observation
• Coordinates
• Log
Brightness

Voksenlia (OSL) cam3


gnomonic
Videos
• Gnomonic
• Gnomonic with coordinates
• Original
• Original with coordinates
Images
• Gnomonic
• Gnomonic with coordinates
• Original
• Original with coordinates
Text Files
• Detection
• Observation
• Log
Brightness