🇳🇴 🇬🇧 🇩🇪 🇨🇿 🇫🇮

Meteor über Hundorp 2025-10-15 01:25:19 UTC

KML-Datei

Die Karte zeigt die Peilungen für den Meteor. Die helleren Linien zeigen die Richtungen von den Beobachtungsorten beim Erscheinen des Meteors, und die dunkleren Linien, wo er zuletzt gesehen wurde. Der blaue Pfeil zeigt die sichtbare Bahn des Meteors.

static map
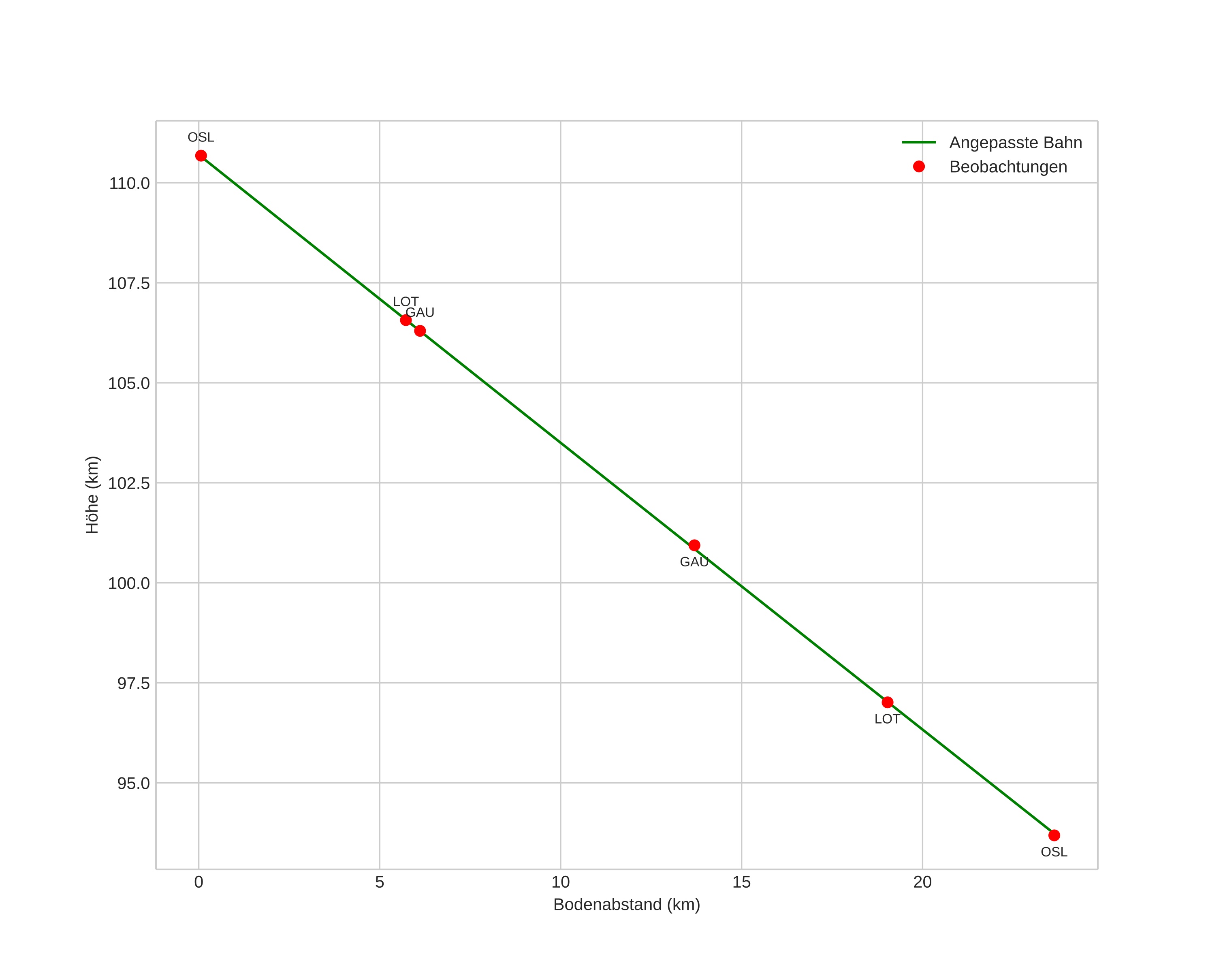
height profile
Atmosphärische Bahn des Meteors:
Anfangshöhe: 110,7 km
Endhöhe: 93,7 km
Startposition: 61,132N 10,108E
Endposition: 61,284N 9,798E
Richtung: 315,7°
Neigungswinkel: 35,7°
Eintrittsgeschwindigkeit: 64,7 km/s
Rektaszension des Radianten: 06:01 (90,5°)
Deklination des Radianten: 12,9°
Meteorstrom: Orioniden
Bahnelemente des Meteoroiden:
Periheldistanz: 0,589 AU
Exzentrizität: 0,799
Inklination: 157,8°
Länge des aufsteigenden Knotens: 21,6°
Argument des Perihels: 85,5°
Mittlere Anomalie: 351,5°
Epoche: 2025 OCT 15 01:25:19
orbit plot

Nicht-interaktives Diagramm

position vs time
speed and acceleration

Gaustatoppen (GAU) cam2


gnomonic
Videos
• Gnomonisch
• Gnomonisch mit Koordinaten
• Original
• Original (HEVC)
• Original mit Koordinaten
Bilder
• Gnomonisch
• Gnomonisch mit Koordinaten
• Original
• Original mit Koordinaten
Textdateien
• Erkennung
• Beobachtung
• Koordinaten
• Protokoll
Helligkeit

Loten (LOT) cam5


gnomonic
Videos
• Gnomonisch
• Gnomonisch mit Koordinaten
• Original
• Original (HEVC)
• Original mit Koordinaten
Bilder
• Gnomonisch
• Gnomonisch mit Koordinaten
• Original
• Original mit Koordinaten
Textdateien
• Erkennung
• Beobachtung
• Koordinaten
• Protokoll
Helligkeit

Voksenlia (OSL) cam1


gnomonic
Videos
• Gnomonisch
• Gnomonisch mit Koordinaten
• Original
• Original (HEVC)
• Original mit Koordinaten
Bilder
• Gnomonisch
• Gnomonisch mit Koordinaten
• Original
• Original mit Koordinaten
Textdateien
• Erkennung
• Beobachtung
• Koordinaten
• Protokoll
Helligkeit