🇳🇴 🇬🇧 🇩🇪 🇨🇿 🇫🇮

Meteor über Järna 2025-10-15 04:02:41 UTC

KML-Datei

Die Karte zeigt die Peilungen für den Meteor. Die helleren Linien zeigen die Richtungen von den Beobachtungsorten beim Erscheinen des Meteors, und die dunkleren Linien, wo er zuletzt gesehen wurde. Der blaue Pfeil zeigt die sichtbare Bahn des Meteors.

static map
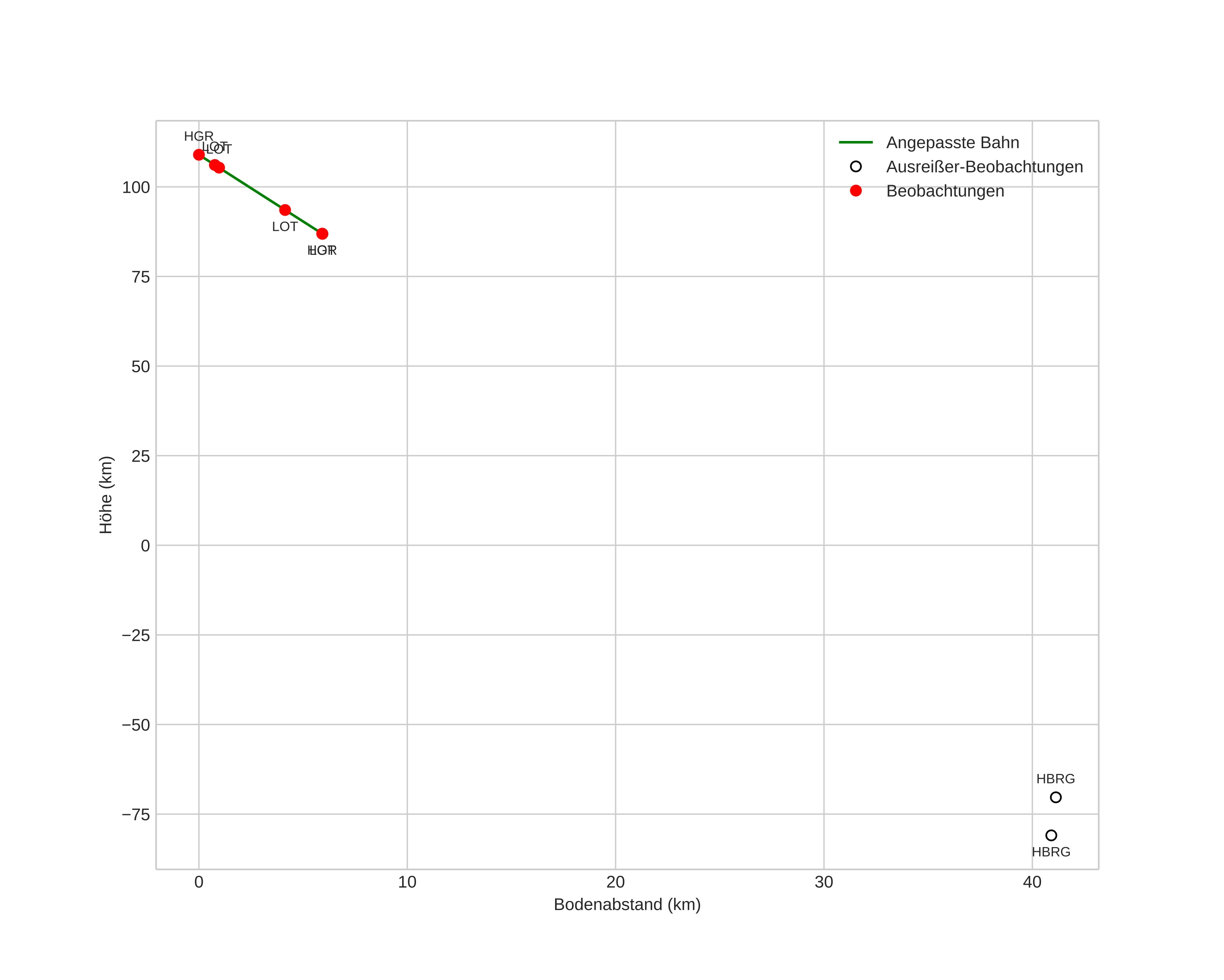
height profile
Atmosphärische Bahn des Meteors:
Anfangshöhe: 108,9 km
Endhöhe: 86,9 km
Startposition: 60,691N 14,378E
Endposition: 60,693N 14,269E
Richtung: 272,0°
Neigungswinkel: 74,9°
Eintrittsgeschwindigkeit: 54,6 km/s
Rektaszension des Radianten: 08:26 (126,6°)
Deklination des Radianten: 56,9°
Meteorstrom: sporadisch
Bahnelemente des Meteoroiden:
Periheldistanz: 0,995 AU
Exzentrizität: 0,327
Inklination: 112,4°
Länge des aufsteigenden Knotens: 201,7°
Argument des Perihels: 172,2°
Mittlere Anomalie: 3,7°
Epoche: 2025 OCT 15 04:02:41
orbit plot

Nicht-interaktives Diagramm

position vs time
speed and acceleration

Hagar (HGR) cam3


gnomonic
Videos
• Gnomonisch
• Gnomonisch mit Koordinaten
• Original
• Original (HEVC)
• Original mit Koordinaten
Bilder
• Gnomonisch
• Gnomonisch mit Koordinaten
• Original
• Original mit Koordinaten
Textdateien
• Erkennung
• Beobachtung
• Koordinaten
• Protokoll
Helligkeit

Loten (LOT) cam2


gnomonic
Videos
• Gnomonisch
• Gnomonisch mit Koordinaten
• Original
• Original (HEVC)
• Original mit Koordinaten
Bilder
• Gnomonisch
• Gnomonisch mit Koordinaten
• Original
• Original mit Koordinaten
Textdateien
• Erkennung
• Beobachtung
• Koordinaten
• Protokoll
Helligkeit

Loten (LOT) cam3


gnomonic
Videos
• Gnomonisch
• Gnomonisch mit Koordinaten
• Original
• Original (HEVC)
• Original mit Koordinaten
Bilder
• Gnomonisch
• Gnomonisch mit Koordinaten
• Original
• Original mit Koordinaten
Textdateien
• Erkennung
• Beobachtung
• Koordinaten
• Protokoll
Helligkeit