🇳🇴 🇬🇧 🇩🇪 🇨🇿 🇫🇮

Meteor Prestfossin yllä 2025-10-15 18:21:59 UTC

KML-tiedosto  |  Interaktiivinen kartta

Kartta näyttää meteorin suuntahavainnot. Vaaleammat viivat näyttävät suunnat havaintoasemilta meteorin ilmestyessä, ja tummemmat viivat näyttävät, missä se viimeksi nähtiin. Sininen nuoli näyttää meteorin näkyvän lennon.

static map
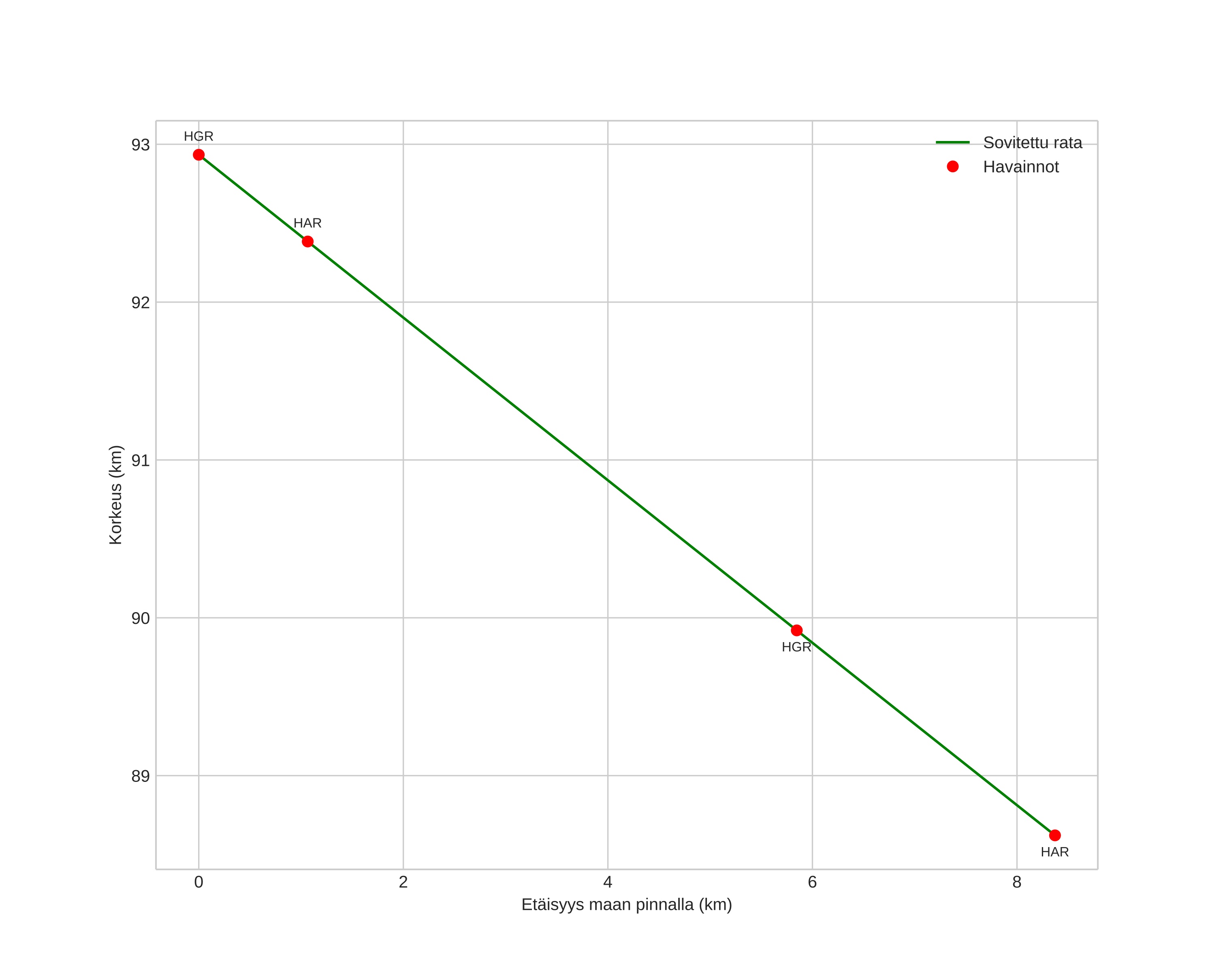
height profile
Meteorin ilmakehärata:
Alkukorkeus: 93,1 km
Loppukorkeus: 88,1 km
Alkupiste: 60,011N 9,746E
Loppupiste: 60,004N 9,578E
Suunta: 265,0°
Kallistuskulma: 28,1°
Tulonopeus: 34,2 km/s
Radiantin R,A,: 01:57 (29,5°)
Radiantin Dekl,: 24,9°
Meteoriparvi: Sporadinen
Meteoroidin rataelementit:
Perihelietäisyys: 0,321 AU
Eksentrisyys: 0,900
Inklinaatio: 16,6°
Nousevan solmun pituus: 202,3°
Perihelin argumentti: 295,6°
Keskianomalia: 353,1°
Epookki: 2025 OCT 15 18:21:59
orbit plot

Ei-interaktiivinen kuvaaja | Interaktiivinen kuvaaja

position vs time
speed and acceleration

Hagar (HGR) cam6


gnomonic
Videot:
• Gnomoninen
• Gnomoninen koordinaateilla
• Alkuperäinen
• Alkuperäinen koordinaateilla
Kuvat:
• Gnomoninen
• Gnomoninen koordinaateilla
• Alkuperäinen
• Alkuperäinen koordinaateilla
Tekstitiedostot:
• Havaintoraportti
• Observaatio
• Koordinaatit
• Loki
Kirkkaus

Harestua (HAR) cam7


gnomonic
Videot:
• Gnomoninen
• Gnomoninen koordinaateilla
• Alkuperäinen
• Alkuperäinen koordinaateilla
Kuvat:
• Gnomoninen
• Gnomoninen koordinaateilla
• Alkuperäinen
• Alkuperäinen koordinaateilla
Tekstitiedostot:
• Havaintoraportti
• Observaatio
• Koordinaatit
• Loki
Kirkkaus