🇳🇴 🇬🇧 🇩🇪 🇨🇿 🇫🇮

Meteor, poloha: Lervik 2025-10-15 21:19:53 UTC

Soubor KML  |  Interaktivní mapa

Mapa zobrazuje dráhy meteoru. Světlejší čáry ukazují směry od pozorovacích stanic při objevení se meteoru a tmavší čáry, kde byl naposledy viděn. Modrá šipka značí viditelnou dráhu meteoru.

static map
height profile
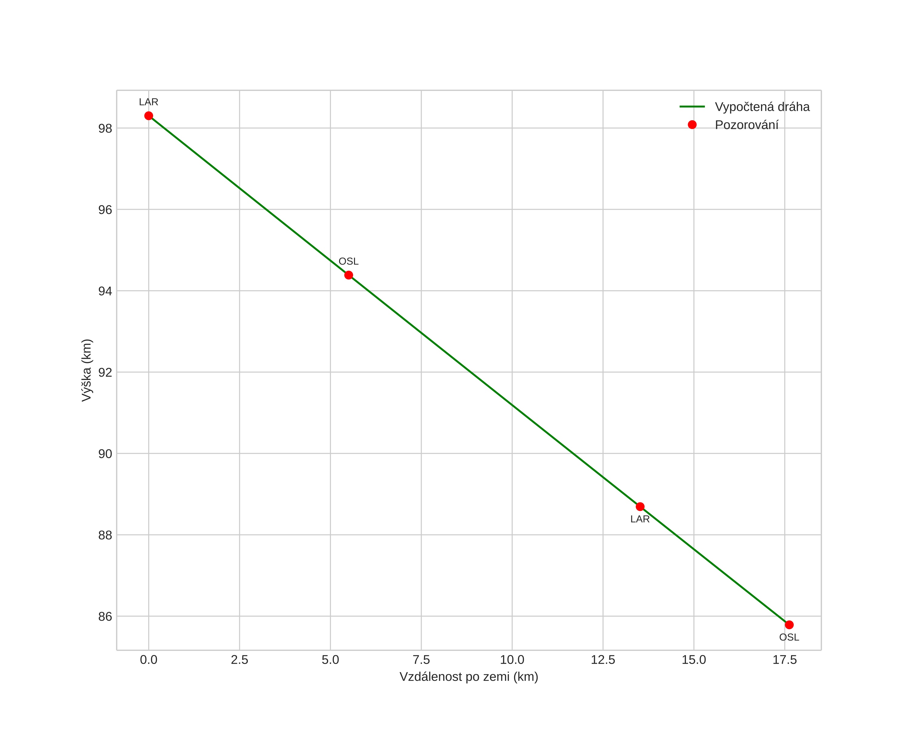
Atmosférická dráha meteoru:
Počáteční výška: 97,9 km
Konečná výška: 85,6 km
Počáteční poloha: 59,123N 10,886E
Konečná poloha: 59,222N 10,648E
Směr: 308,9°
Sklon: 35,2°
Vstupní rychlost: 31,2 km/s
Rektascenze radiantu: 02:25 (36,3°)
Deklinace radiantu: 11,4°
Meteorický roj: Jižní Tauridy
Elementy dráhy meteoroidu:
Vzdálenost v periheliu: 0,302 AU
Excentricita: 0,838
Sklon dráhy: 3,7°
Délka vzestupného uzlu: 22,4°
Argument perihelia: 121,9°
Střední anomálie: 343,6°
Epocha: 2025 OCT 15 21:19:53
orbit plot

Neinteraktivní graf | Interaktivní graf

position vs time
speed and acceleration