🇳🇴 🇬🇧 🇩🇪 🇨🇿 🇫🇮

Meteor over Hamar 2025-10-15 22:22:28 UTC

KML-fil  |  Interaktivt kart

Kartet viser peilingene for meteoren. De lysere linjene viser retningene fra observasjonsstedene for meteorens tilsynekomst, og de mørkere linjene viser hvor den sist kunne sees. Den blå pila viser meteorens synlige ferd.

static map
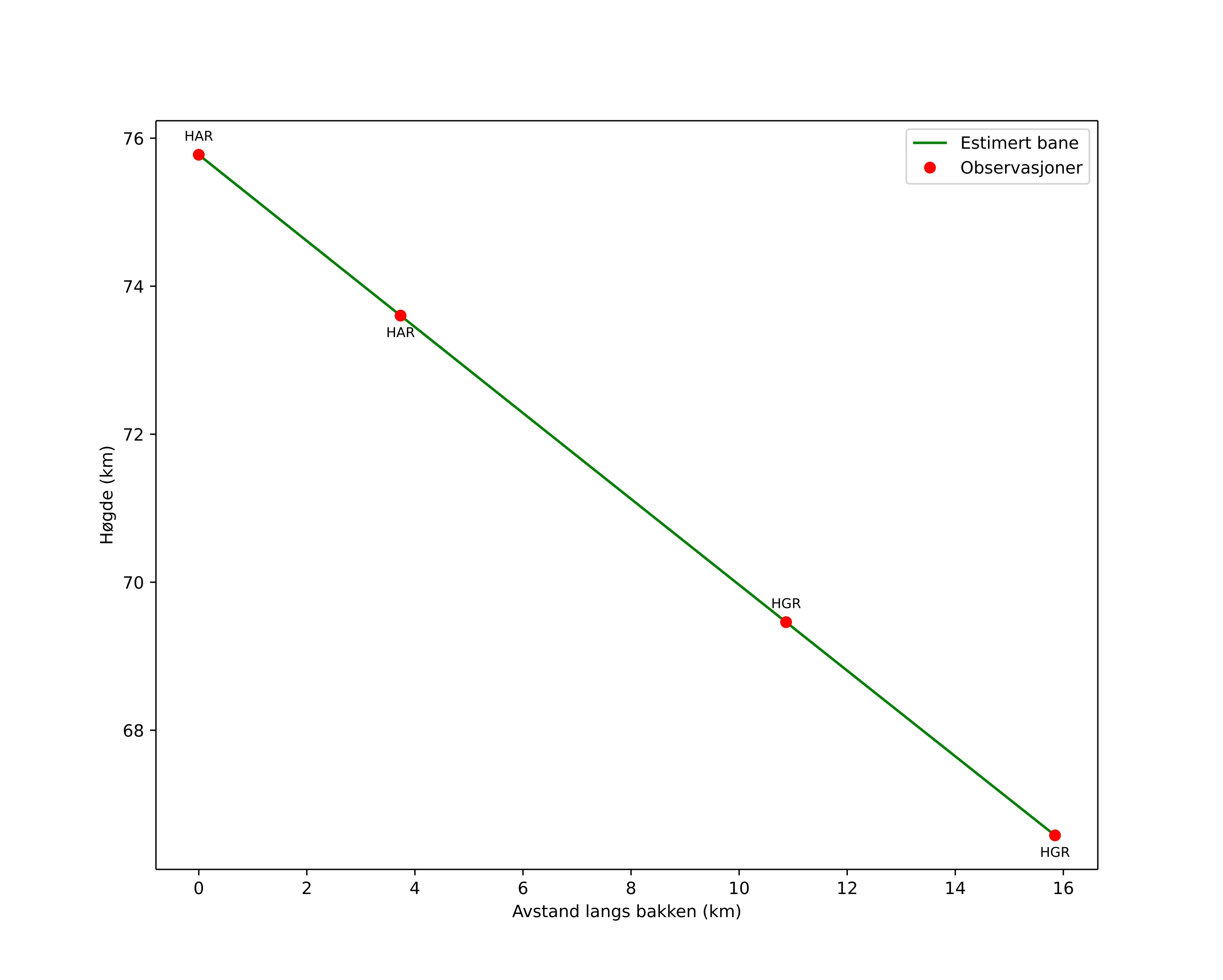
height profile
Meteorens atmosfæriske bane:
Starthøgde: 79,2 km
Slutthøgde: 67,1 km
Startposisjon: 60,691N 10,803E
Sluttposisjon: 60,815N 11,086E
Retning: 48,2°
Fallvinkel: 30,4°
Inngangshastighet: 13,4 km/s
Radiantens rektascensjon: 21:30 (322,7°)
Radiantens deklinasjon: -7,6°
Meteorsverm: sporadisk
Meteoroidens baneelement:
Perihelavstand: 0,977 AU
Eksentrisitet: 0,532
Inklinasjon: 1,4°
Knutelengde: 202,4°
Perihelargument: 199,7°
Midlere anomali: 354,9°
Epoke: 2025 OCT 15 22:22:28
orbit plot

Ikke-interaktivt plott | Interaktivt plott

position vs time
speed and acceleration

Hagar (HGR) cam7


gnomonic
Videoer
• Gnomonisk
• Gnomonisk med koordinater
• Original
• Original med koordinater
Bilder
• Gnomonisk
• Gnomonisk med koordinater
• Original
• Original med koordinater
Tekstfiler
• Deteksjon
• Observasjon
• Koordinater
• Logg
Lysstyrke

Harestua (HAR) cam6


gnomonic
Videoer
• Gnomonisk
• Gnomonisk med koordinater
• Original
• Original med koordinater
Bilder
• Gnomonisk
• Gnomonisk med koordinater
• Original
• Original med koordinater
Tekstfiler
• Deteksjon
• Observasjon
• Logg
Lysstyrke