🇳🇴 🇬🇧 🇩🇪 🇨🇿 🇫🇮

Meteor, poloha: Hvittingfoss 2025-10-15 23:14:39 UTC

Soubor KML  |  InteraktivnĂ­ mapa

Mapa zobrazuje dráhy meteoru. Světlejší čáry ukazují směry od pozorovacích stanic při objevení se meteoru a tmavší čáry, kde byl naposledy viděn. Modrá šipka značí viditelnou dráhu meteoru.

static map
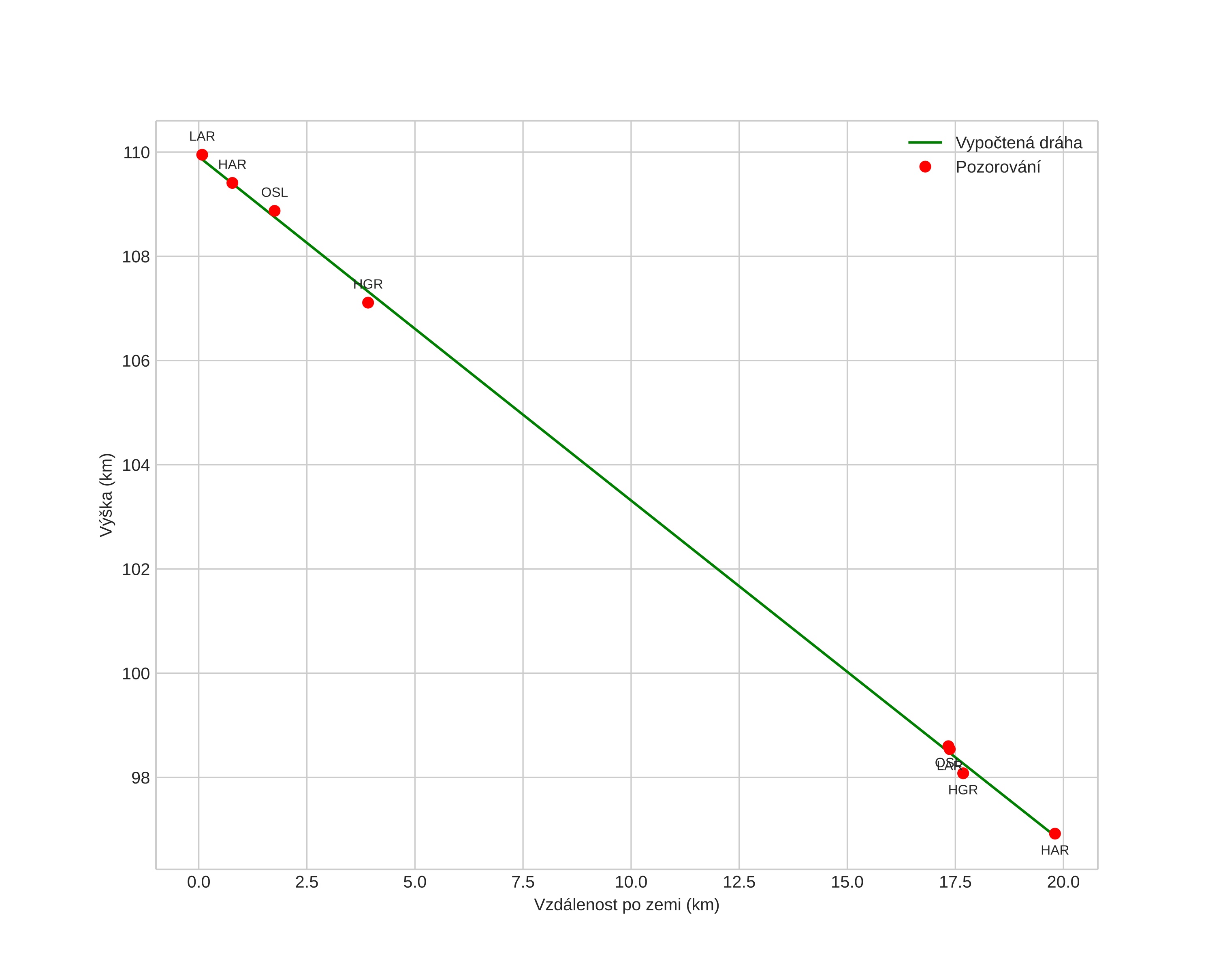
height profile
Atmosférická dráha meteoru:
Počáteční výška: 113,9 km
Konečná výška: 97,0 km
Počáteční poloha: 59,542N 10,445E
Konečná poloha: 59,528N 9,990E
Směr: 266,8°
Sklon: 33,3°
VstupnĂ­ rychlost: 73,0 km/s
Rektascenze radiantu: 06:30 (97,5°)
Deklinace radiantu: 29,6°
MeteorickĂ˝ roj: epsilon-geminidene
Elementy dráhy meteoroidu:
Vzdálenost v periheliu: 0,809 AU
Excentricita: 1,182
Sklon dráhy: 168,5°
Délka vzestupného uzlu: 202,5°
Argument perihelia: 229,3°
Střední anomálie: -3,0°
Epocha: 2025 OCT 15 23:14:39
orbit plot

NeinteraktivnĂ­ graf | InteraktivnĂ­ graf

position vs time
speed and acceleration

Hagar (HGR) cam4


gnomonic
Videa
• Gnomonická
• Gnomonická se souřadnicemi
• Původní
• Původní se souřadnicemi
Obrázky
• Gnomonická
• Gnomonická se souřadnicemi
• Původní
• Původní se souřadnicemi
Textové soubory
• Detekce
• Pozorování
• Protokol
Jasnost

Harestua (HAR) cam7


gnomonic
Videa
• Gnomonická
• Gnomonická se souřadnicemi
• Původní
• Původní se souřadnicemi
Obrázky
• Gnomonická
• Gnomonická se souřadnicemi
• Původní
• Původní se souřadnicemi
Textové soubory
• Detekce
• Pozorování
• Souřadnice
• Protokol
Jasnost

Larvik (LAR) cam6


gnomonic
Videa
• Gnomonická
• Gnomonická se souřadnicemi
• Původní
• Původní se souřadnicemi
Obrázky
• Gnomonická
• Gnomonická se souřadnicemi
• Původní
• Původní se souřadnicemi
Textové soubory
• Detekce
• Pozorování
• Souřadnice
• Protokol
Jasnost

Voksenlia (OSL) cam7


gnomonic
Videa
• Gnomonická
• Gnomonická se souřadnicemi
• Původní
• Původní se souřadnicemi
Obrázky
• Gnomonická
• Gnomonická se souřadnicemi
• Původní
• Původní se souřadnicemi
Textové soubory
• Detekce
• Pozorování
• Souřadnice
• Protokol
Jasnost