🇳🇴 🇬🇧 🇩🇪 🇨🇿 🇫🇮

Meteor over Sørumsand 2025-10-15 23:52:34 UTC

KML-fil  |  Interaktivt kart

Kartet viser peilingene for meteoren. De lysere linjene viser retningene fra observasjonsstedene for meteorens tilsynekomst, og de mørkere linjene viser hvor den sist kunne sees. Den blå pila viser meteorens synlige ferd.

static map
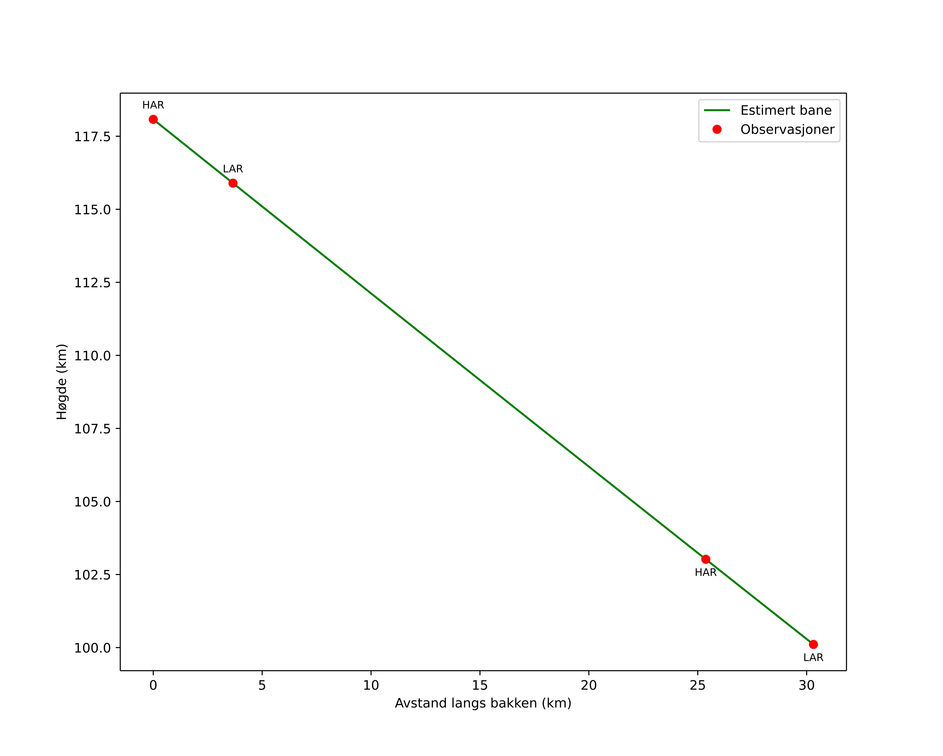
height profile
Meteorens atmosfæriske bane:
Starthøgde: 118,0 km
Slutthøgde: 100,1 km
Startposisjon: 59,763N 11,812E
Sluttposisjon: 59,868N 11,315E
Retning: 293,1°
Fallvinkel: 30,7°
Inngangshastighet: 65,4 km/s
Radiantens rektascensjon: 05:58 (89,6°)
Radiantens deklinasjon: 15,3°
Meteorsverm: Orionidene
Meteoroidens baneelement:
Perihelavstand: 0,547 AU
Eksentrisitet: 0,855
Inklinasjon: 162,4°
Knutelengde: 22,5°
Perihelargument: 88,8°
Midlere anomali: 354,3°
Epoke: 2025 OCT 15 23:52:34
orbit plot

Ikke-interaktivt plott | Interaktivt plott

position vs time
speed and acceleration

Harestua (HAR) cam7


gnomonic
Videoer
• Gnomonisk
• Gnomonisk med koordinater
• Original
• Original med koordinater
Bilder
• Gnomonisk
• Gnomonisk med koordinater
• Original
• Original med koordinater
Tekstfiler
• Deteksjon
• Observasjon
• Koordinater
• Logg
Lysstyrke

Larvik (LAR) cam2


gnomonic
Videoer
• Gnomonisk
• Gnomonisk med koordinater
• Original
• Original med koordinater
Bilder
• Gnomonisk
• Gnomonisk med koordinater
• Original
• Original med koordinater
Tekstfiler
• Deteksjon
• Observasjon
• Koordinater
• Logg
Lysstyrke