🇳🇴 🇬🇧 🇩🇪 🇨🇿 🇫🇮

Meteor Årnesin yllä 2025-10-15 23:55:10 UTC

KML-tiedosto  |  Interaktiivinen kartta

Kartta näyttää meteorin suuntahavainnot. Vaaleammat viivat näyttävät suunnat havaintoasemilta meteorin ilmestyessä, ja tummemmat viivat näyttävät, missä se viimeksi nähtiin. Sininen nuoli näyttää meteorin näkyvän lennon.

static map
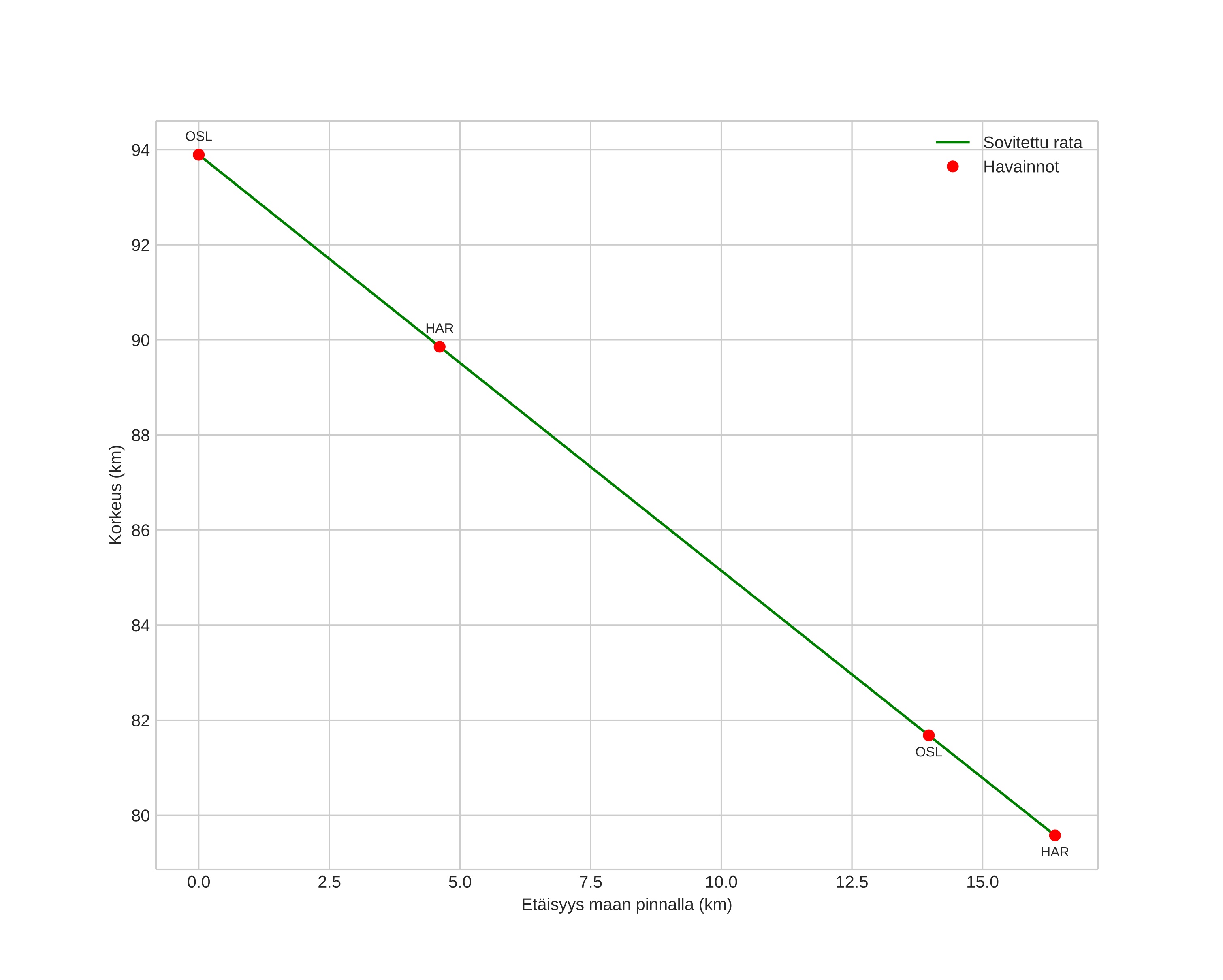
height profile
Meteorin ilmakehärata:
Alkukorkeus: 100,1 km
Loppukorkeus: 86,4 km
Alkupiste: 60,032N 11,477E
Loppupiste: 60,240N 11,406E
Suunta: 350,4°
Kallistuskulma: 30,3°
Tulonopeus: 29,1 km/s
Radiantin R,A,: 02:50 (42,6°)
Radiantin Dekl,: -2,0°
Meteoriparvi: Sporadinen
Meteoroidin rataelementit:
Perihelietäisyys: 0,360 AU
Eksentrisyys: 0,761
Inklinaatio: 19,9°
Nousevan solmun pituus: 22,5°
Perihelin argumentti: 118,6°
Keskianomalia: 335,5°
Epookki: 2025 OCT 15 23:55:10
orbit plot

Ei-interaktiivinen kuvaaja | Interaktiivinen kuvaaja

position vs time
speed and acceleration

Harestua (HAR) cam7


gnomonic
Videot:
• Gnomoninen
• Gnomoninen koordinaateilla
• Alkuperäinen
• Alkuperäinen koordinaateilla
Kuvat:
• Gnomoninen
• Gnomoninen koordinaateilla
• Alkuperäinen
• Alkuperäinen koordinaateilla
Tekstitiedostot:
• Havaintoraportti
• Observaatio
• Koordinaatit
• Loki
Kirkkaus

Voksenlia (OSL) cam6


gnomonic
Videot:
• Gnomoninen
• Gnomoninen koordinaateilla
• Alkuperäinen
• Alkuperäinen koordinaateilla
Kuvat:
• Gnomoninen
• Gnomoninen koordinaateilla
• Alkuperäinen
• Alkuperäinen koordinaateilla
Tekstitiedostot:
• Havaintoraportti
• Observaatio
• Loki
Kirkkaus