🇳🇴 🇬🇧 🇩🇪 🇨🇿 🇫🇮

Meteor over Kongsberg 2025-10-16 00:00:33 UTC

KML file

The map shows the bearings for the meteor. The lighter lines show the directions from the observation sites at the meteor's appearance, and the darker lines show where it was last seen. The blue arrow indicates the visible path of the meteor.

static map
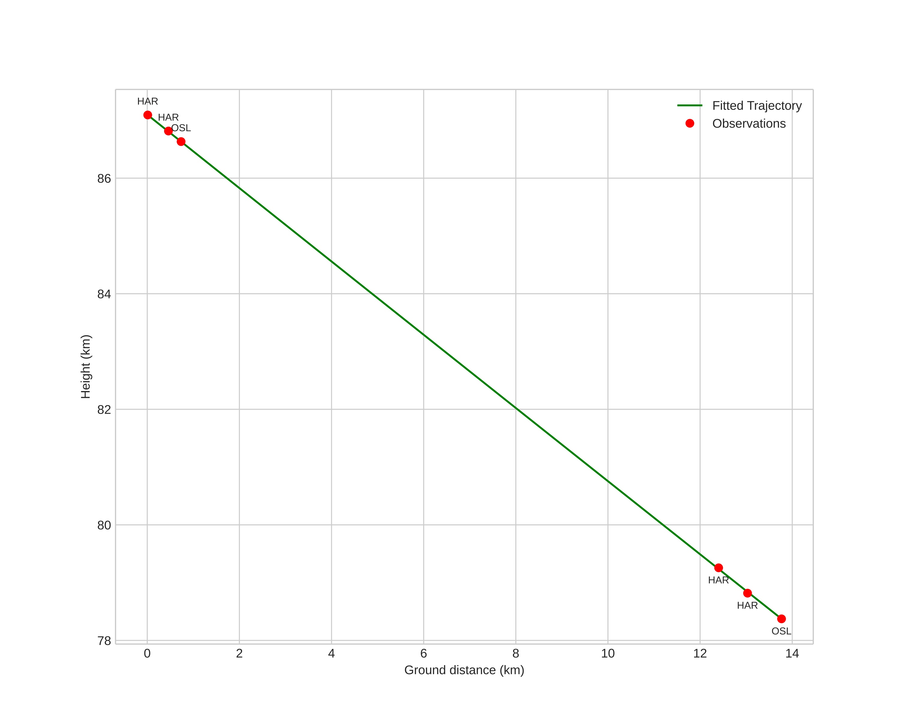
height profile
Meteor's Atmospheric Trajectory:
Start height: 87.1 km
End height: 78.4 km
Start position: 59.638N 9.569E
End position: 59.515N 9.589E
Direction: 175.3°
Inclination angle: 32.3°
Entry speed: 23.5 km/s
Radiant R.A.: 14:53 (223.3°)
Radiant Dec.: 58.6°
Meteor Shower: sporadic
Meteoroid's Orbital Elements:
Perihelion distance: 0.911 AU
Eccentricity: 0.326
Inclination: 35.8°
Long. of Asc. Node: 202.5°
Argument of Perihelion: 130.6°
Mean Anomaly: 25.3°
Epoch: 2025 OCT 16 00:00:33
orbit plot

Non-interactive plot

position vs time
speed and acceleration

Harestua (HAR) cam4


gnomonic
Videos
• Gnomonic
• Gnomonic with coordinates
• Original
• Original (HEVC)
• Original with coordinates
Images
• Gnomonic
• Gnomonic with coordinates
• Original
• Original with coordinates
Text Files
• Detection
• Observation
• Coordinates
• Log
Brightness

Harestua (HAR) cam7


gnomonic
Videos
• Gnomonic
• Gnomonic with coordinates
• Original
• Original (HEVC)
• Original with coordinates
Images
• Gnomonic
• Gnomonic with coordinates
• Original
• Original with coordinates
Text Files
• Detection
• Observation
• Coordinates
• Log
Brightness

Voksenlia (OSL) cam7


gnomonic
Videos
• Gnomonic
• Gnomonic with coordinates
• Original
• Original (HEVC)
• Original with coordinates
Images
• Gnomonic
• Gnomonic with coordinates
• Original
• Original with coordinates
Text Files
• Detection
• Observation
• Coordinates
• Log
Brightness