🇳🇴 🇬🇧 🇩🇪 🇨🇿 🇫🇮

Meteor, poloha: Grua 2025-10-16 00:17:10 UTC

Soubor KML  |  Interaktivní mapa

Mapa zobrazuje dráhy meteoru. Světlejší čáry ukazují směry od pozorovacích stanic při objevení se meteoru a tmavší čáry, kde byl naposledy viděn. Modrá šipka značí viditelnou dráhu meteoru.

static map
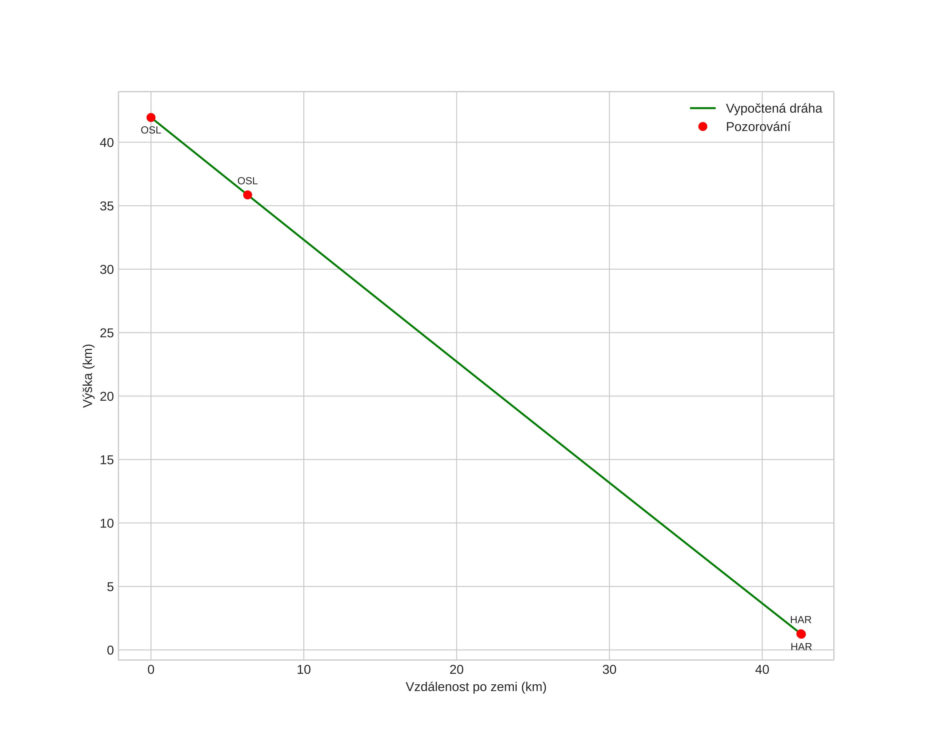
height profile
Atmosférická dráha meteoru:
Počáteční výška: 42,2 km
Konečná výška: 1,2 km
Počáteční poloha: 59,833N 10,759E
Konečná poloha: 60,217N 10,775E
Směr: 1,2°
Sklon: 43,9°
Vstupní rychlost: 0,2 km/s
position vs time
speed and acceleration