🇳🇴 🇬🇧 🇩🇪 🇨🇿 🇫🇮

Meteor over Hagfors 2025-10-16 01:01:39 UTC

KML-fil  |  Interaktivt kart

Kartet viser peilingene for meteoren. De lysere linjene viser retningene fra observasjonsstedene for meteorens tilsynekomst, og de mørkere linjene viser hvor den sist kunne sees. Den blå pila viser meteorens synlige ferd.

static map
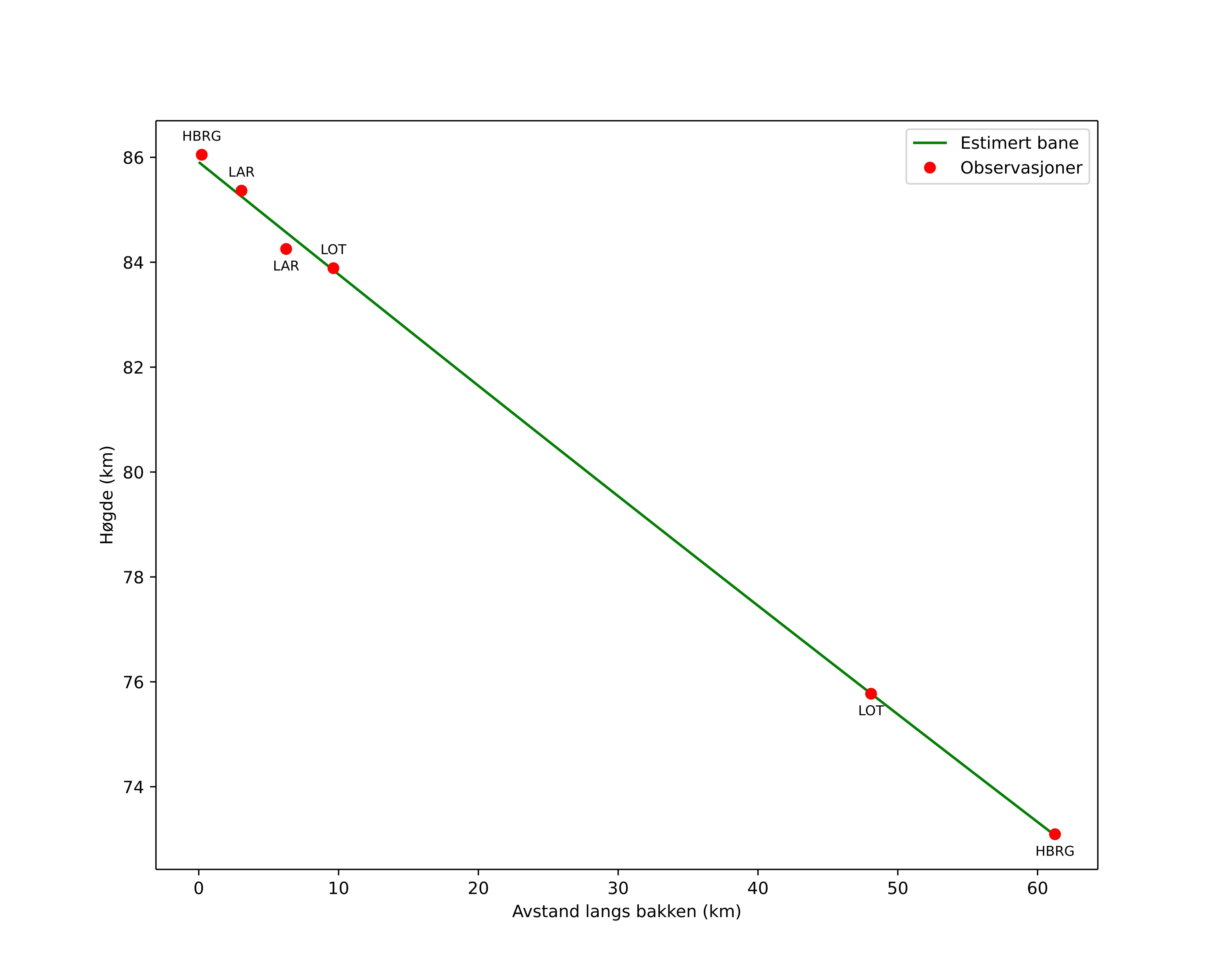
height profile
Meteorens atmosfæriske bane:
Starthøgde: 85,9 km
Slutthøgde: 72,8 km
Startposisjon: 60,426N 12,786E
Sluttposisjon: 60,105N 13,693E
Retning: 125,2°
Fallvinkel: 12,0°
Inngangshastighet: 15,2 km/s
Radiantens rektascensjon: 19:17 (289,5°)
Radiantens deklinasjon: 11,9°
Meteorsverm: sporadisk
Meteoroidens baneelement:
Perihelavstand: 0,997 AU
Eksentrisitet: 0,728
Inklinasjon: 8,7°
Knutelengde: 202,6°
Perihelargument: 182,0°
Midlere anomali: 359,8°
Epoke: 2025 OCT 16 01:01:39
orbit plot

Ikke-interaktivt plott | Interaktivt plott

position vs time
speed and acceleration

Larvik (LAR) cam2


gnomonic
Videoer
• Gnomonisk
• Gnomonisk med koordinater
• Original
• Original med koordinater
Bilder
• Gnomonisk
• Gnomonisk med koordinater
• Original
• Original med koordinater
Tekstfiler
• Deteksjon
• Observasjon
• Koordinater
• Logg
Lysstyrke

Loten (LOT) cam2


gnomonic
Videoer
• Gnomonisk
• Gnomonisk med koordinater
• Original
• Original med koordinater
Bilder
• Gnomonisk
• Gnomonisk med koordinater
• Original
• Original med koordinater
Tekstfiler
• Deteksjon
• Observasjon
• Koordinater
• Logg
Lysstyrke