🇳🇴 🇬🇧 🇩🇪 🇨🇿 🇫🇮

Meteor over Spetalen 2025-10-16 01:48:45 UTC

KML-fil

Kartet viser peilingene for meteoren. De lysere linjene viser retningene fra observasjonsstedene for meteorens tilsynekomst, og de mørkere linjene viser hvor den sist kunne sees. Den blå pila viser meteorens synlige ferd.

static map
height profile
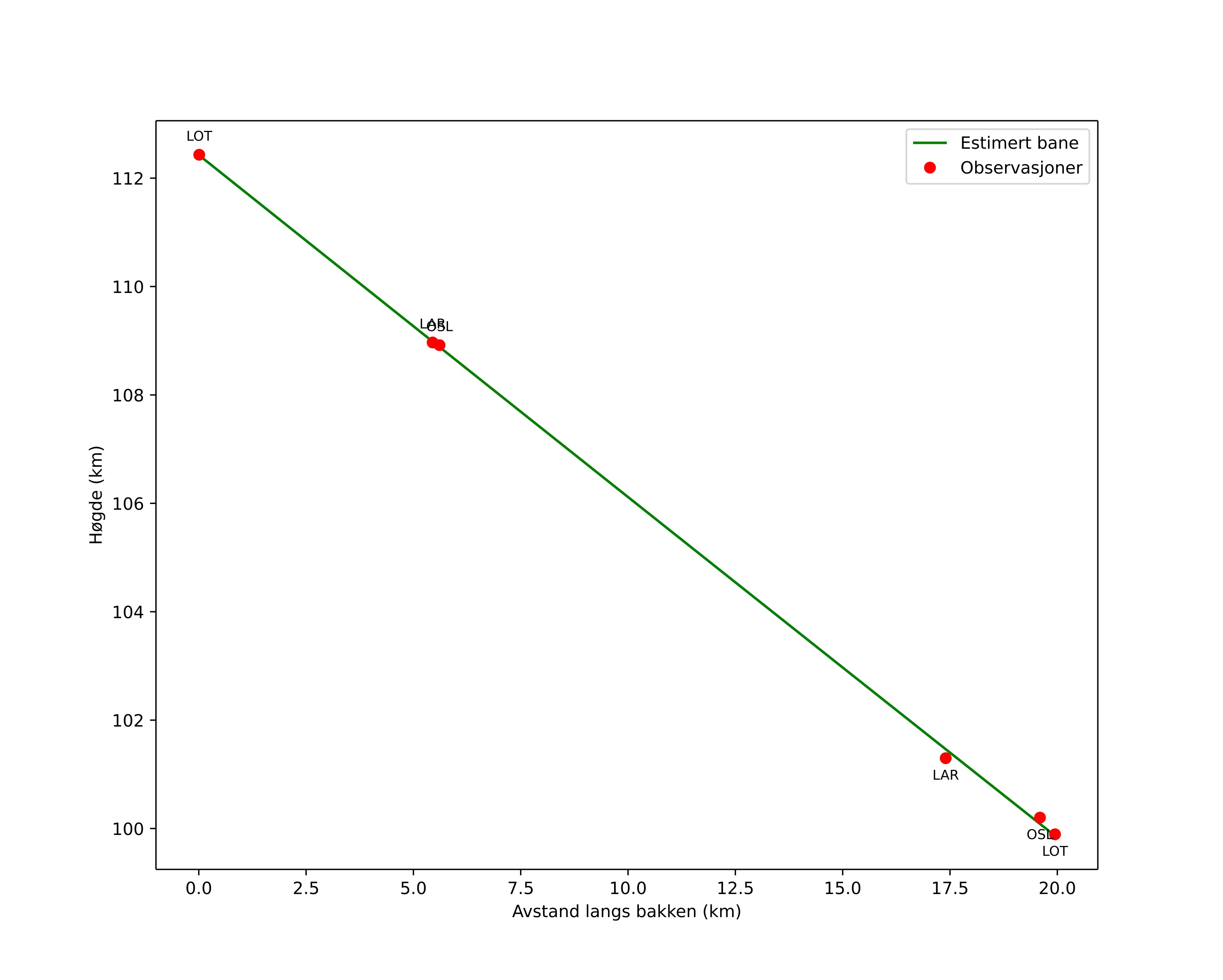
Meteorens atmosfæriske bane:
Starthøgde: 112,4 km
Slutthøgde: 99,9 km
Startposisjon: 60,305N 12,189E
Sluttposisjon: 60,369N 11,851E
Retning: 291,1°
Fallvinkel: 32,1°
Inngangshastighet: 66,3 km/s
Radiantens rektascensjon: 08:00 (120,0°)
Radiantens deklinasjon: 17,8°
Meteorsverm: sporadisk
Meteoroidens baneelement:
Perihelavstand: 0,947 AU
Eksentrisitet: 0,453
Inklinasjon: 174,9°
Knutelengde: 22,6°
Perihelargument: 327,1°
Midlere anomali: 11,4°
Epoke: 2025 OCT 16 01:48:45
orbit plot

Ikke-interaktivt plott

position vs time
speed and acceleration

Larvik (LAR) cam2


gnomonic
Videoer
• Gnomonisk
• Gnomonisk med koordinater
• Original
• Original (HEVC)
• Original med koordinater
Bilder
• Gnomonisk
• Gnomonisk med koordinater
• Original
• Original med koordinater
Tekstfiler
• Deteksjon
• Observasjon
• Koordinater
• Logg
Lysstyrke

Loten (LOT) cam7


gnomonic
Videoer
• Gnomonisk
• Gnomonisk med koordinater
• Original
• Original (HEVC)
• Original med koordinater
Bilder
• Gnomonisk
• Gnomonisk med koordinater
• Original
• Original med koordinater
Tekstfiler
• Deteksjon
• Observasjon
• Koordinater
• Logg
Lysstyrke

Voksenlia (OSL) cam5


gnomonic
Videoer
• Gnomonisk
• Gnomonisk med koordinater
• Original
• Original (HEVC)
• Original med koordinater
Bilder
• Gnomonisk
• Gnomonisk med koordinater
• Original
• Original med koordinater
Tekstfiler
• Deteksjon
• Observasjon
• Koordinater
• Logg
Lysstyrke