🇳🇴 🇬🇧 🇩🇪 🇨🇿 🇫🇮

Meteor over Malung 2025-10-16 17:58:49 UTC

KML-fil

Kartet viser peilingene for meteoren. De lysere linjene viser retningene fra observasjonsstedene for meteorens tilsynekomst, og de mørkere linjene viser hvor den sist kunne sees. Den blå pila viser meteorens synlige ferd.

static map
height profile
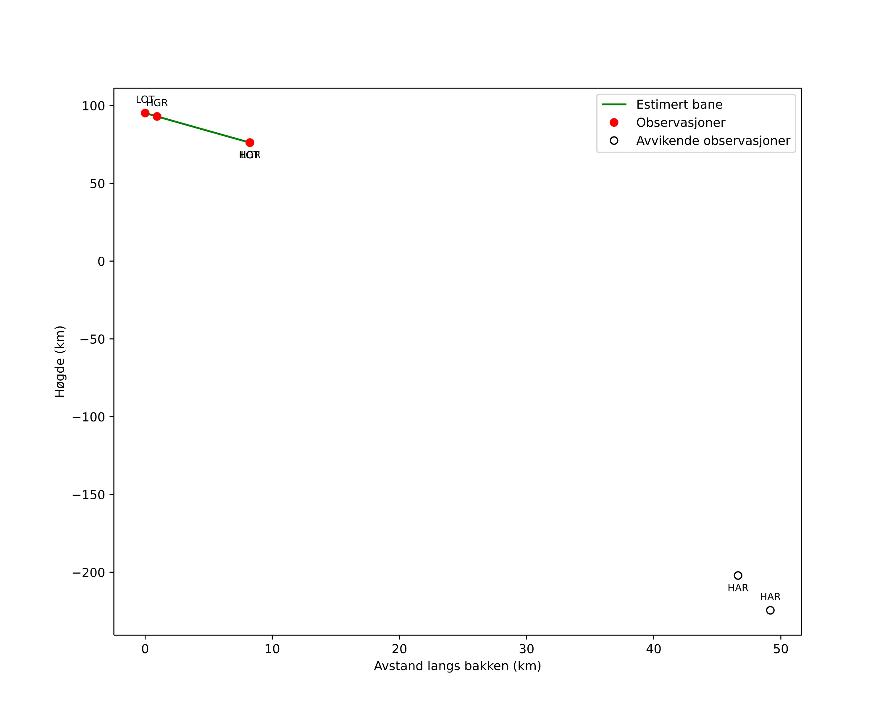
Meteorens atmosfæriske bane:
Starthøgde: 95,2 km
Slutthøgde: 76,1 km
Startposisjon: 60,942N 12,976E
Sluttposisjon: 60,904N 13,107E
Retning: 120,4°
Fallvinkel: 66,6°
Inngangshastighet: 28,5 km/s
Radiantens rektascensjon: 16:55 (253,9°)
Radiantens deklinasjon: 63,5°
Meteorsverm: sporadisk
Meteoroidens baneelement:
Perihelavstand: 0,990 AU
Eksentrisitet: 0,755
Inklinasjon: 41,5°
Knutelengde: 203,3°
Perihelargument: 170,2°
Midlere anomali: 0,9°
Epoke: 2025 OCT 16 17:58:49
orbit plot

Ikke-interaktivt plott

position vs time
speed and acceleration

Hagar (HGR) cam3


gnomonic
Videoer
• Gnomonisk
• Gnomonisk med koordinater
• Original
• Original (HEVC)
• Original med koordinater
Bilder
• Gnomonisk
• Gnomonisk med koordinater
• Original
• Original med koordinater
Tekstfiler
• Deteksjon
• Observasjon
• Koordinater
• Logg
Lysstyrke

Harestua (HAR) cam7


gnomonic
Videoer
• Gnomonisk
• Gnomonisk med koordinater
• Original
• Original (HEVC)
• Original med koordinater
Bilder
• Gnomonisk
• Gnomonisk med koordinater
• Original
• Original med koordinater
Tekstfiler
• Deteksjon
• Observasjon
• Koordinater
• Logg
Lysstyrke

Loten (LOT) cam2


gnomonic
Videoer
• Gnomonisk
• Gnomonisk med koordinater
• Original
• Original (HEVC)
• Original med koordinater
Bilder
• Gnomonisk
• Gnomonisk med koordinater
• Original
• Original med koordinater
Tekstfiler
• Deteksjon
• Observasjon
• Koordinater
• Logg
Lysstyrke