🇳🇴 🇬🇧 🇩🇪 🇨🇿 🇫🇮

Meteor over Engerdal 2025-10-16 18:21:33 UTC

KML-fil

Kartet viser peilingene for meteoren. De lysere linjene viser retningene fra observasjonsstedene for meteorens tilsynekomst, og de mørkere linjene viser hvor den sist kunne sees. Den blå pila viser meteorens synlige ferd.

static map
height profile
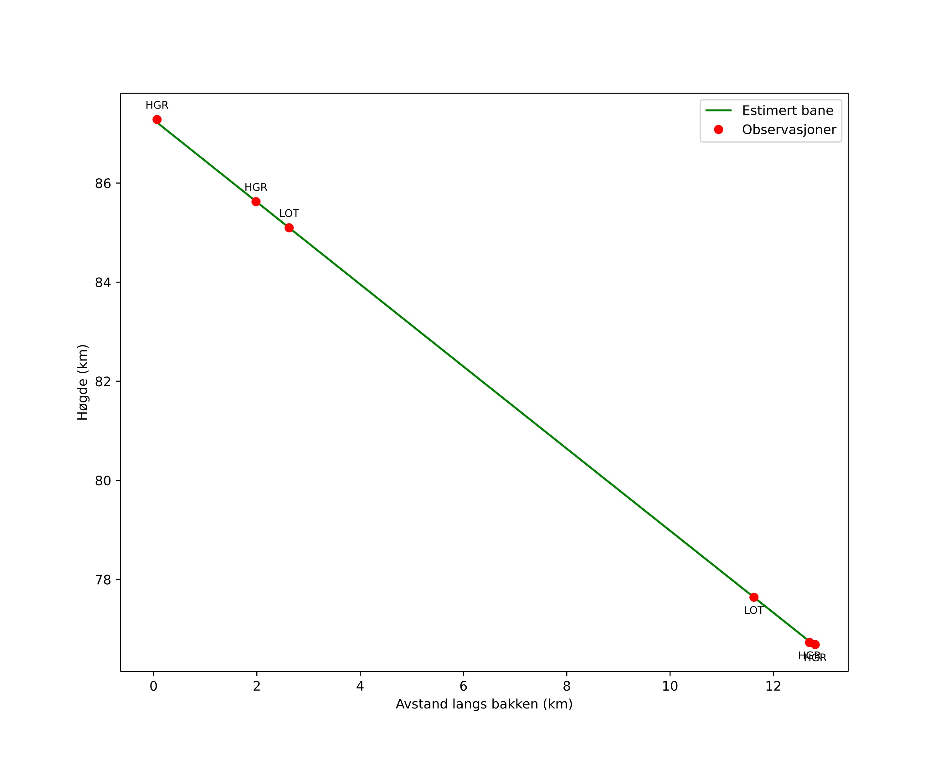
Meteorens atmosfæriske bane:
Starthøgde: 87,3 km
Slutthøgde: 76,7 km
Startposisjon: 61,871N 12,188E
Sluttposisjon: 61,973N 12,303E
Retning: 28,1°
Fallvinkel: 39,6°
Inngangshastighet: 15,8 km/s
Radiantens rektascensjon: 19:11 (287,9°)
Radiantens deklinasjon: 5,1°
Meteorsverm: sporadisk
Meteoroidens baneelement:
Perihelavstand: 0,997 AU
Eksentrisitet: 0,825
Inklinasjon: 7,4°
Knutelengde: 203,3°
Perihelargument: 179,8°
Midlere anomali: 0,0°
Epoke: 2025 OCT 16 18:21:33
orbit plot

Ikke-interaktivt plott

position vs time
speed and acceleration

Hagar (HGR) cam2


gnomonic
Videoer
• Gnomonisk
• Gnomonisk med koordinater
• Original
• Original (HEVC)
• Original med koordinater
Bilder
• Gnomonisk
• Gnomonisk med koordinater
• Original
• Original med koordinater
Tekstfiler
• Deteksjon
• Observasjon
• Koordinater
• Logg
Lysstyrke

Hagar (HGR) cam3


gnomonic
Videoer
• Gnomonisk
• Gnomonisk med koordinater
• Original
• Original (HEVC)
• Original med koordinater
Bilder
• Gnomonisk
• Gnomonisk med koordinater
• Original
• Original med koordinater
Tekstfiler
• Deteksjon
• Observasjon
• Koordinater
• Logg
Lysstyrke

Loten (LOT) cam2


gnomonic
Videoer
• Gnomonisk
• Gnomonisk med koordinater
• Original
• Original (HEVC)
• Original med koordinater
Bilder
• Gnomonisk
• Gnomonisk med koordinater
• Original
• Original med koordinater
Tekstfiler
• Deteksjon
• Observasjon
• Koordinater
• Logg
Lysstyrke