🇳🇴 🇬🇧 🇩🇪 🇨🇿 🇫🇮

Meteor, poloha: Rjukan 2025-10-16 18:36:29 UTC

Soubor KML

Mapa zobrazuje dráhy meteoru. Světlejší čáry ukazují směry od pozorovacích stanic při objevení se meteoru a tmavší čáry, kde byl naposledy viděn. Modrá šipka značí viditelnou dráhu meteoru.

static map
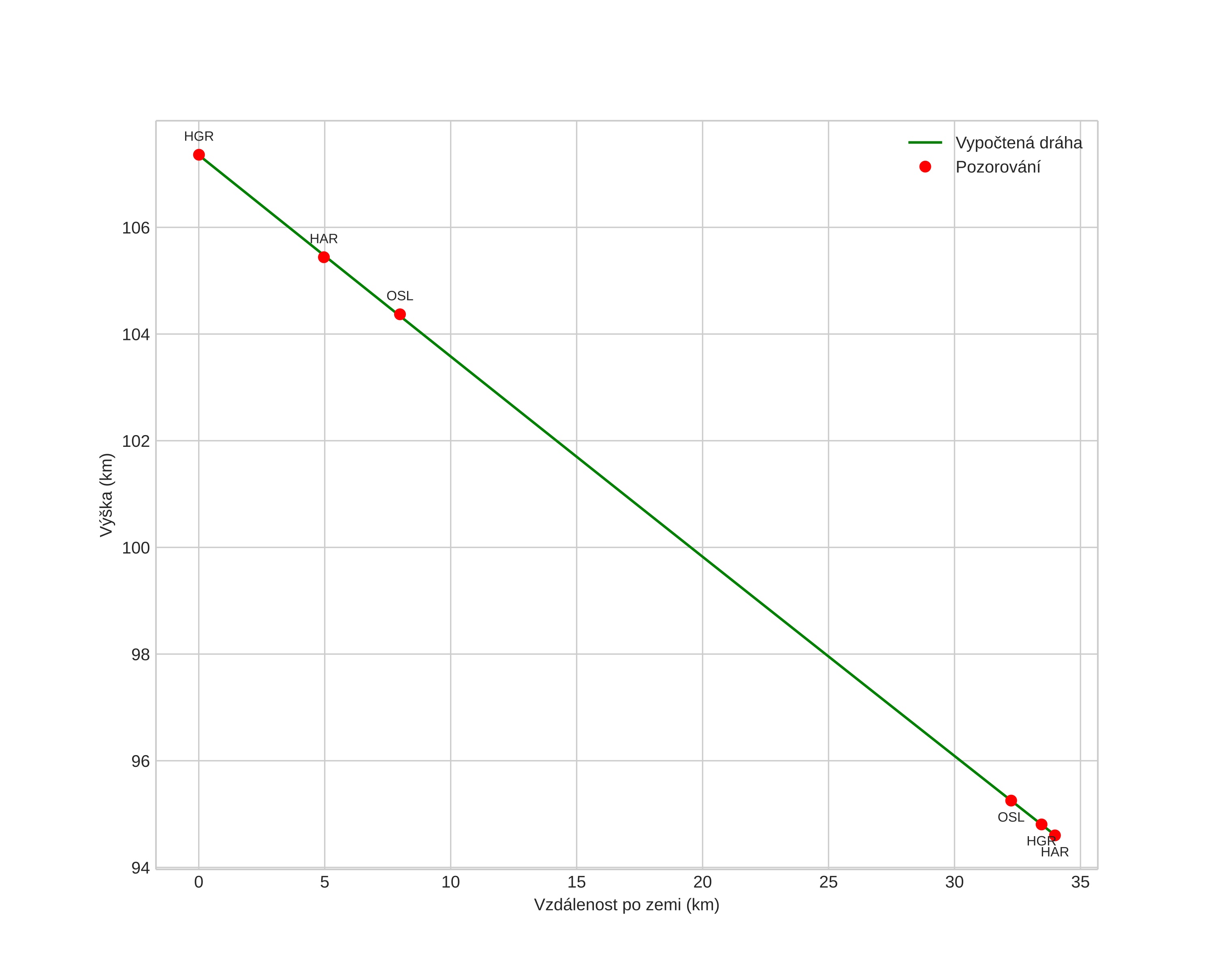
height profile
Atmosférická dráha meteoru:
Počáteční výška: 107,4 km
Konečná výška: 94,6 km
Počáteční poloha: 60,405N 8,639E
Konečná poloha: 60,119N 8,422E
Směr: 200,7°
Sklon: 20,6°
VstupnĂ­ rychlost: 66,4 km/s
Rektascenze radiantu: 06:55 (103,8°)
Deklinace radiantu: 47,2°
MeteorickĂ˝ roj: sporadickĂ˝
Elementy dráhy meteoroidu:
Vzdálenost v periheliu: 0,879 AU
Excentricita: 0,935
Sklon dráhy: 136,4°
Délka vzestupného uzlu: 203,3°
Argument perihelia: 220,9°
Střední anomálie: 359,5°
Epocha: 2025 OCT 16 18:36:29
orbit plot

NeinteraktivnĂ­ graf

position vs time
speed and acceleration

Hagar (HGR) cam1


gnomonic
Videa
• Gnomonická
• Gnomonická se souřadnicemi
• Původní
• Původní (HEVC)
• Původní se souřadnicemi
Obrázky
• Gnomonická
• Gnomonická se souřadnicemi
• Původní
• Původní se souřadnicemi
Textové soubory
• Detekce
• Pozorování
• Souřadnice
• Protokol
Jasnost

Harestua (HAR) cam5


gnomonic
Videa
• Gnomonická
• Gnomonická se souřadnicemi
• Původní
• Původní (HEVC)
• Původní se souřadnicemi
Obrázky
• Gnomonická
• Gnomonická se souřadnicemi
• Původní
• Původní se souřadnicemi
Textové soubory
• Detekce
• Pozorování
• Souřadnice
• Protokol
Jasnost

Voksenlia (OSL) cam2


gnomonic
Videa
• Gnomonická
• Gnomonická se souřadnicemi
• Původní
• Původní (HEVC)
• Původní se souřadnicemi
Obrázky
• Gnomonická
• Gnomonická se souřadnicemi
• Původní
• Původní se souřadnicemi
Textové soubory
• Detekce
• Pozorování
• Souřadnice
• Protokol
Jasnost