🇳🇴 🇬🇧 🇩🇪 🇨🇿 🇫🇮

Meteor over LÃ¥ngsele 2025-10-16 19:09:22 UTC

KML-fil  |  Interaktivt kart

Kartet viser peilingene for meteoren. De lysere linjene viser retningene fra observasjonsstedene for meteorens tilsynekomst, og de mørkere linjene viser hvor den sist kunne sees. Den blå pila viser meteorens synlige ferd.

static map
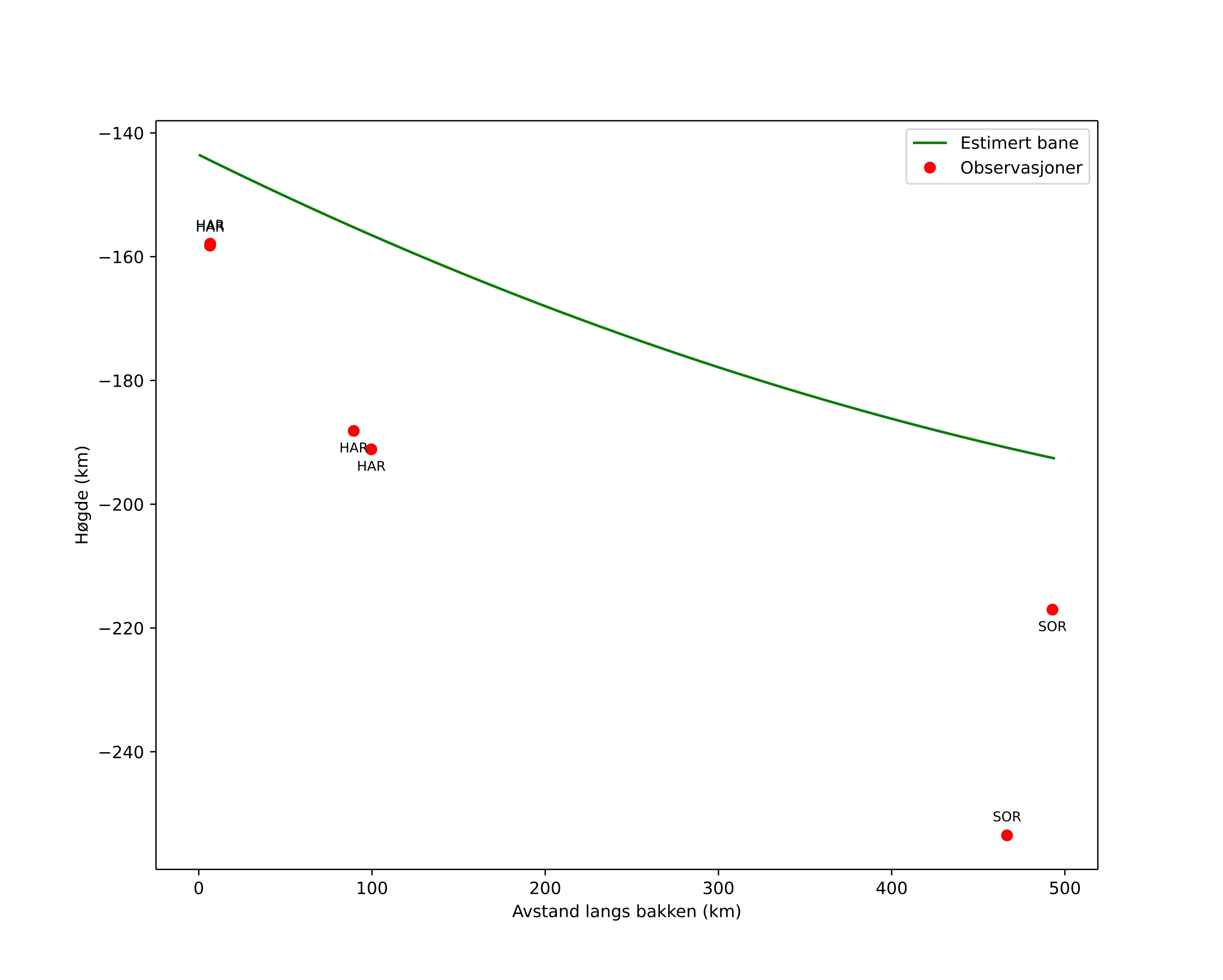
height profile
Meteorens atmosfæriske bane:
Starthøgde: -157,4 km
Slutthøgde: -159,1 km
Startposisjon: 63,149N 10,037E
Sluttposisjon: 64,715N 19,956E
Retning: 65,8°
Fallvinkel: 0,2°
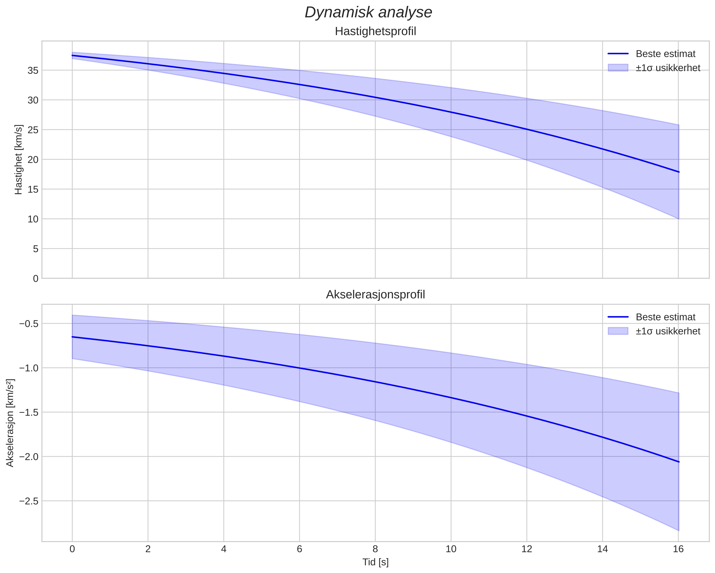
Inngangshastighet: 35,9 km/s
Radiantens rektascensjon: 16:51 (253,0°)
Radiantens deklinasjon: -13,1°
Meteorsverm: sporadisk
Meteoroidens baneelement:
Perihelavstand: 0,911 AU
Eksentrisitet: 2,857
Inklinasjon: 5,7°
Knutelengde: 203,3°
Perihelargument: 152,1°
Midlere anomali: 38,3°
Epoke: 2025 OCT 16 19:09:22
orbit plot

Ikke-interaktivt plott | Interaktivt plott

position vs time
speed and acceleration

Harestua (HAR) cam4


gnomonic
Videoer
• Gnomonisk
• Gnomonisk med koordinater
• Original
• Original med koordinater
Bilder
• Gnomonisk
• Gnomonisk med koordinater
• Original
• Original med koordinater
Tekstfiler
• Deteksjon
• Observasjon
• Koordinater
• Logg
Lysstyrke

Sorreisa (SOR) cam1


gnomonic
Videoer
• Gnomonisk
• Gnomonisk med koordinater
• Original
• Original med koordinater
Bilder
• Gnomonisk
• Gnomonisk med koordinater
• Original
• Original med koordinater
Tekstfiler
• Deteksjon
• Observasjon
• Koordinater
• Logg
Lysstyrke