🇳🇴 🇬🇧 🇩🇪 🇨🇿 🇫🇮

Meteor Årdalstangenin yllä 2025-10-16 19:43:26 UTC

KML-tiedosto  |  Interaktiivinen kartta

Kartta näyttää meteorin suuntahavainnot. Vaaleammat viivat näyttävät suunnat havaintoasemilta meteorin ilmestyessä, ja tummemmat viivat näyttävät, missä se viimeksi nähtiin. Sininen nuoli näyttää meteorin näkyvän lennon.

static map
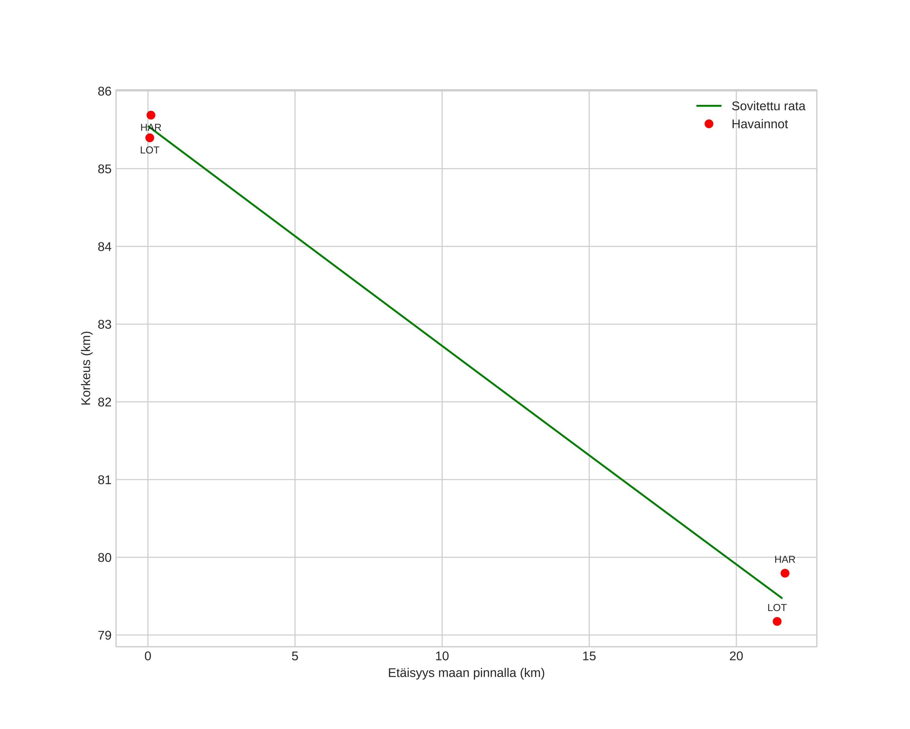
height profile
Meteorin ilmakehärata:
Alkukorkeus: 87,7 km
Loppukorkeus: 74,7 km
Alkupiste: 61,484N 7,293E
Loppupiste: 61,268N 7,697E
Suunta: 137,9°
Kallistuskulma: 22,0°
Tulonopeus: 102,1 km/s
Radiantin R,A,: 13:35 (204,0°)
Radiantin Dekl,: 41,0°
Meteoriparvi: Sporadinen
Meteoroidin rataelementit:
Perihelietäisyys: 0,724 AU
Eksentrisyys: 7,400
Inklinaatio: 86,9°
Nousevan solmun pituus: 203,3°
Perihelin argumentti: 133,6°
Keskianomalia: 324,1°
Epookki: 2025 OCT 16 19:43:26
orbit plot

Ei-interaktiivinen kuvaaja | Interaktiivinen kuvaaja

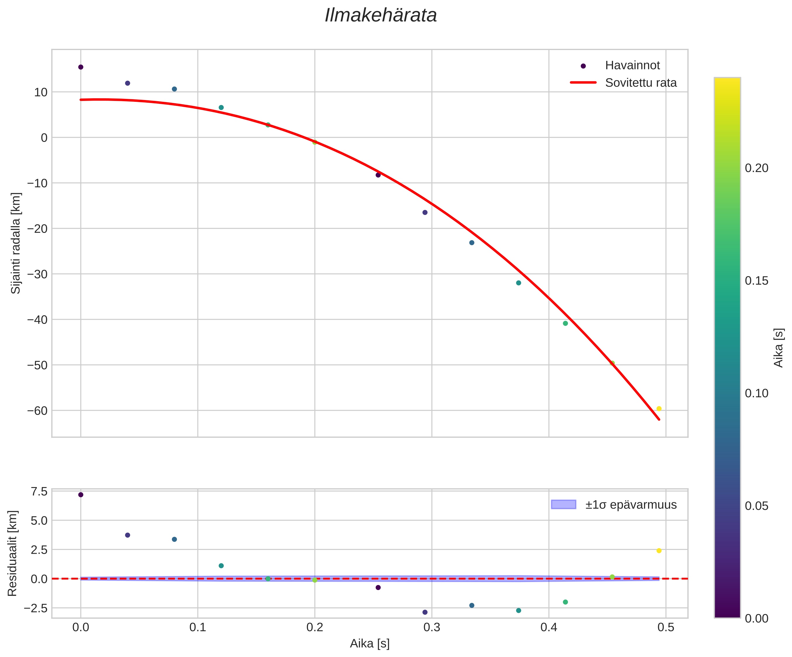
position vs time
speed and acceleration

Harestua (HAR) cam5


gnomonic
Videot:
• Gnomoninen
• Gnomoninen koordinaateilla
• Alkuperäinen
• Alkuperäinen koordinaateilla
Kuvat:
• Gnomoninen
• Gnomoninen koordinaateilla
• Alkuperäinen
• Alkuperäinen koordinaateilla
Tekstitiedostot:
• Havaintoraportti
• Observaatio
• Koordinaatit
• Loki
Kirkkaus

Loten (LOT) cam5


gnomonic
Videot:
• Gnomoninen
• Gnomoninen koordinaateilla
• Alkuperäinen
• Alkuperäinen koordinaateilla
Kuvat:
• Gnomoninen
• Gnomoninen koordinaateilla
• Alkuperäinen
• Alkuperäinen koordinaateilla
Tekstitiedostot:
• Havaintoraportti
• Observaatio
• Koordinaatit
• Loki
Kirkkaus