🇳🇴 🇬🇧 🇩🇪 🇨🇿 🇫🇮

Meteor Mauran yllä 2025-10-16 20:29:14 UTC

KML-tiedosto  |  Interaktiivinen kartta

Kartta näyttää meteorin suuntahavainnot. Vaaleammat viivat näyttävät suunnat havaintoasemilta meteorin ilmestyessä, ja tummemmat viivat näyttävät, missä se viimeksi nähtiin. Sininen nuoli näyttää meteorin näkyvän lennon.

static map
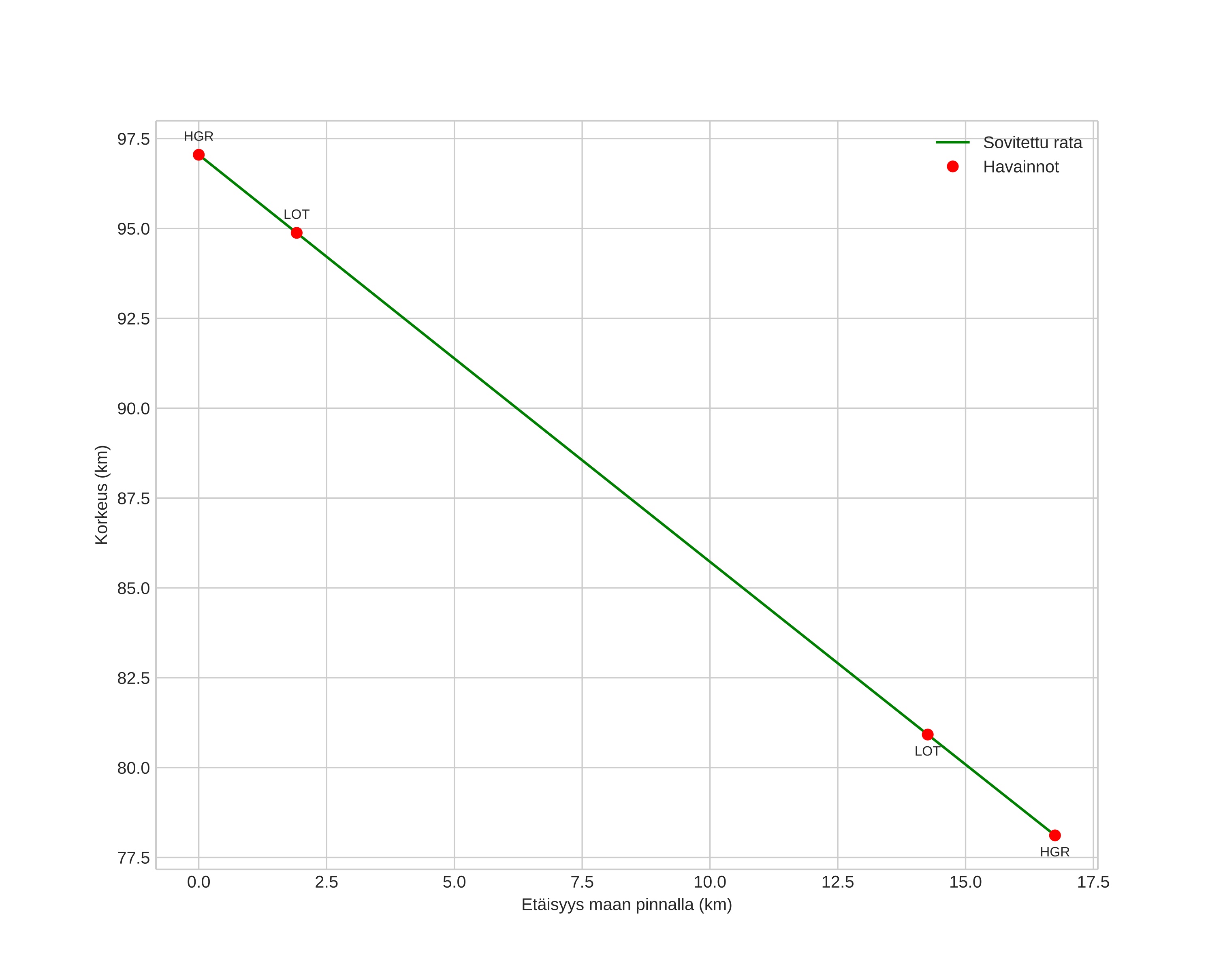
height profile
Meteorin ilmakehärata:
Alkukorkeus: 97,2 km
Loppukorkeus: 79,0 km
Alkupiste: 60,246N 11,352E
Loppupiste: 60,296N 11,073E
Suunta: 290,2°
Kallistuskulma: 48,0°
Tulonopeus: 48,1 km/s
Radiantin R,A,: 02:06 (31,7°)
Radiantin Dekl,: 31,4°
Meteoriparvi: Sporadinen
Meteoroidin rataelementit:
Perihelietäisyys: 0,249 AU
Eksentrisyys: 1,153
Inklinaatio: 39,8°
Nousevan solmun pituus: 203,4°
Perihelin argumentti: 293,6°
Keskianomalia: -15,0°
Epookki: 2025 OCT 16 20:29:14
orbit plot

Ei-interaktiivinen kuvaaja | Interaktiivinen kuvaaja

position vs time
speed and acceleration

Hagar (HGR) cam6


gnomonic
Videot:
• Gnomoninen
• Gnomoninen koordinaateilla
• Alkuperäinen
• Alkuperäinen koordinaateilla
Kuvat:
• Gnomoninen
• Gnomoninen koordinaateilla
• Alkuperäinen
• Alkuperäinen koordinaateilla
Tekstitiedostot:
• Havaintoraportti
• Observaatio
• Koordinaatit
• Loki
Kirkkaus

Loten (LOT) cam7


gnomonic
Videot:
• Gnomoninen
• Gnomoninen koordinaateilla
• Alkuperäinen
• Alkuperäinen koordinaateilla
Kuvat:
• Gnomoninen
• Gnomoninen koordinaateilla
• Alkuperäinen
• Alkuperäinen koordinaateilla
Tekstitiedostot:
• Havaintoraportti
• Observaatio
• Koordinaatit
• Loki
Kirkkaus