🇳🇴 🇬🇧 🇩🇪 🇨🇿 🇫🇮

Meteor Ludvikan yllä 2025-10-16 20:34:54 UTC

KML-tiedosto  |  Interaktiivinen kartta

Kartta näyttää meteorin suuntahavainnot. Vaaleammat viivat näyttävät suunnat havaintoasemilta meteorin ilmestyessä, ja tummemmat viivat näyttävät, missä se viimeksi nähtiin. Sininen nuoli näyttää meteorin näkyvän lennon.

static map
height profile
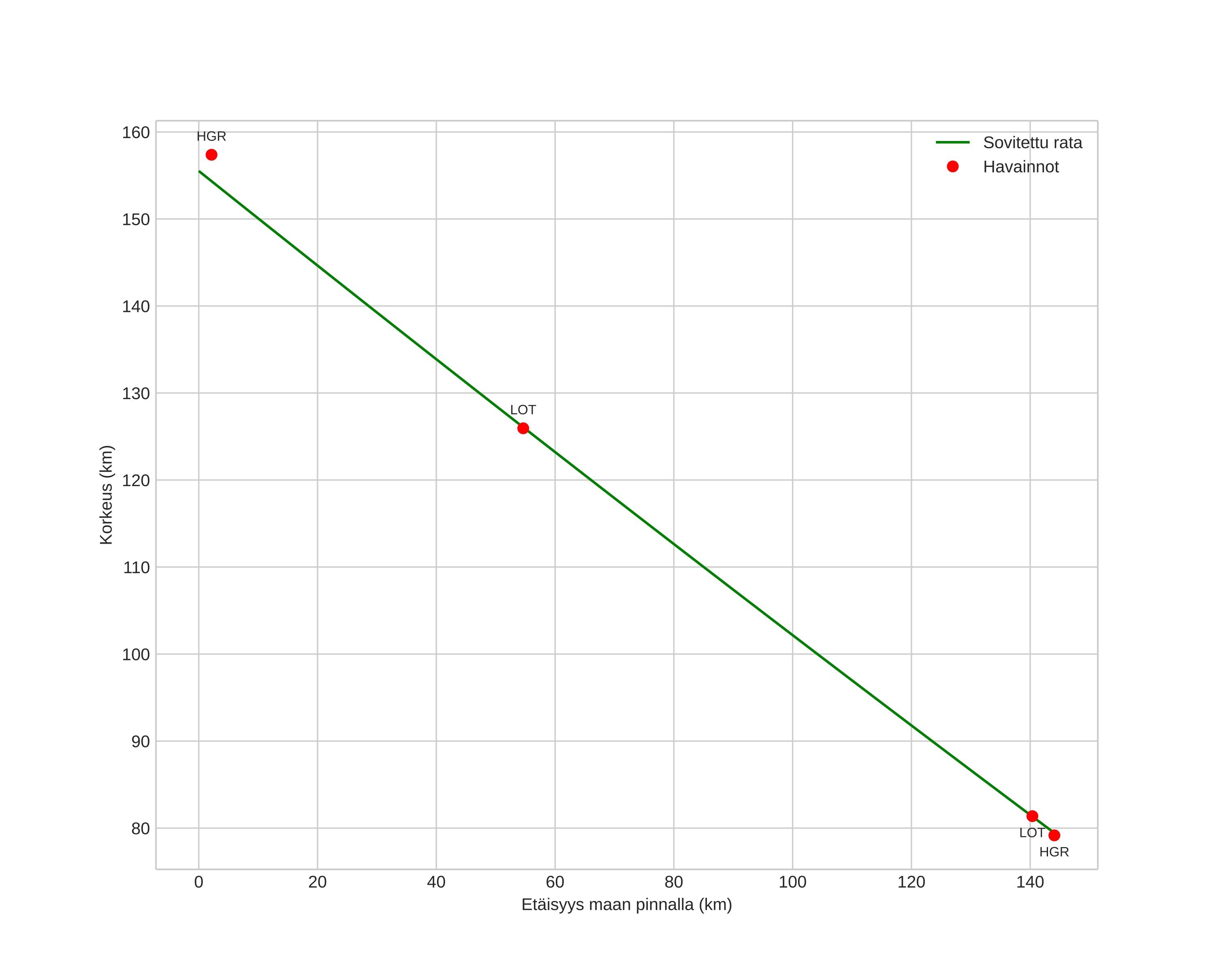
Meteorin ilmakehärata:
Alkukorkeus: 154,5 km
Loppukorkeus: 81,3 km
Alkupiste: 59,486N 17,283E
Loppupiste: 60,014N 15,142E
Suunta: 297,0°
Kallistuskulma: 28,7°
Tulonopeus: 180,1 km/s
Radiantin R,A,: 02:56 (44,2°)
Radiantin Dekl,: 12,0°
Meteoriparvi: Sporadinen
Meteoroidin rataelementit:
Perihelietäisyys: 0,208 AU
Eksentrisyys: 7,443
Inklinaatio: 158,8°
Nousevan solmun pituus: 23,4°
Perihelin argumentti: 84,1°
Keskianomalia: -1656,0°
Epookki: 2025 OCT 16 20:34:54
orbit plot

Ei-interaktiivinen kuvaaja | Interaktiivinen kuvaaja

position vs time
speed and acceleration

Hagar (HGR) cam3


gnomonic
Videot:
• Gnomoninen
• Gnomoninen koordinaateilla
• Alkuperäinen
• Alkuperäinen koordinaateilla
Kuvat:
• Gnomoninen
• Gnomoninen koordinaateilla
• Alkuperäinen
• Alkuperäinen koordinaateilla
Tekstitiedostot:
• Havaintoraportti
• Observaatio
• Koordinaatit
• Loki
Kirkkaus

Loten (LOT) cam2


gnomonic
Videot:
• Gnomoninen
• Gnomoninen koordinaateilla
• Alkuperäinen
• Alkuperäinen koordinaateilla
Kuvat:
• Gnomoninen
• Gnomoninen koordinaateilla
• Alkuperäinen
• Alkuperäinen koordinaateilla
Tekstitiedostot:
• Havaintoraportti
• Observaatio
• Koordinaatit
• Loki
Kirkkaus