🇳🇴 🇬🇧 🇩🇪 🇨🇿 🇫🇮

Meteor Katrineholmin yllä 2025-10-16 20:58:54 UTC

KML-tiedosto  |  Interaktiivinen kartta

Kartta näyttää meteorin suuntahavainnot. Vaaleammat viivat näyttävät suunnat havaintoasemilta meteorin ilmestyessä, ja tummemmat viivat näyttävät, missä se viimeksi nähtiin. Sininen nuoli näyttää meteorin näkyvän lennon.

static map
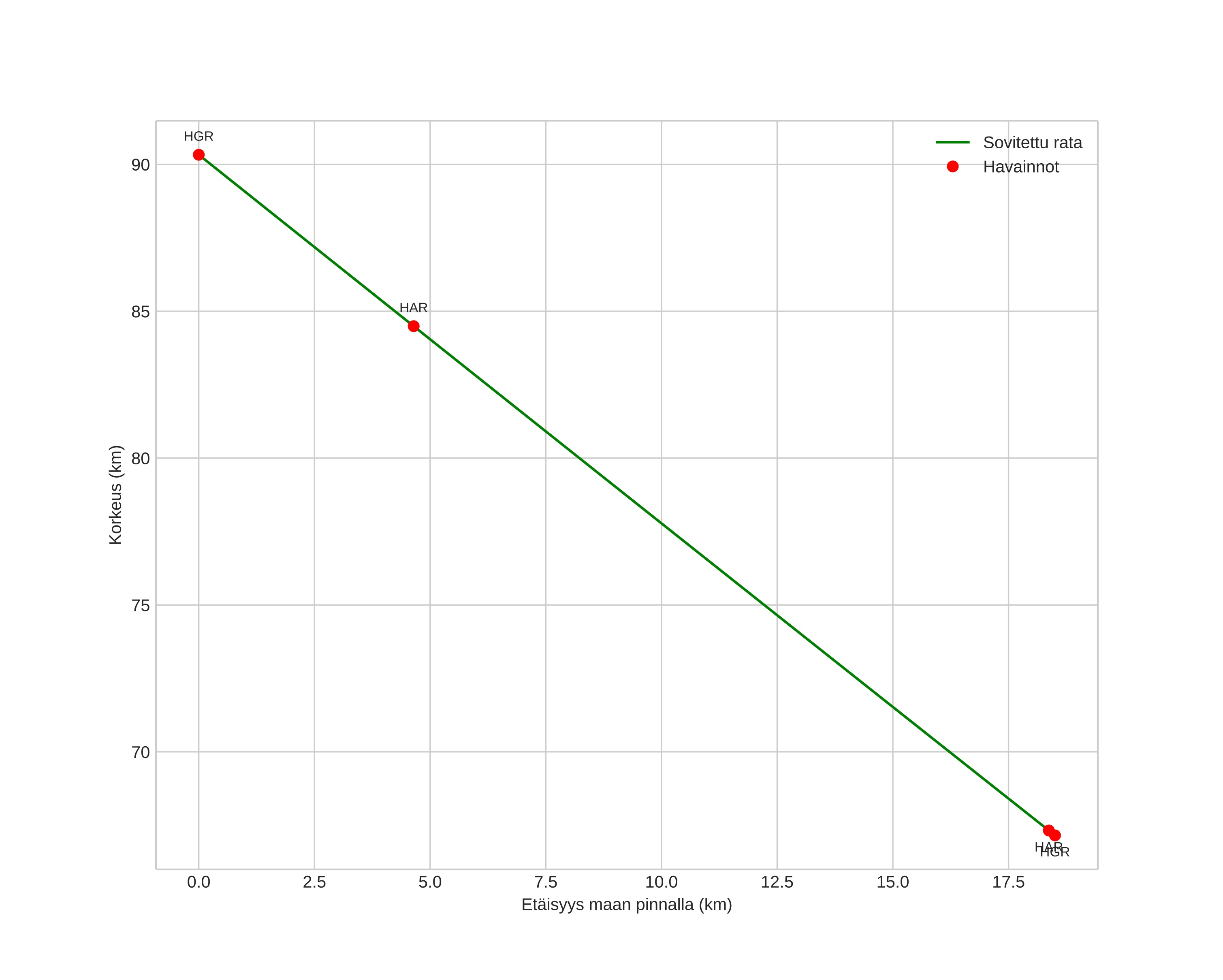
height profile
Meteorin ilmakehärata:
Alkukorkeus: 86,0 km
Loppukorkeus: 64,5 km
Alkupiste: 59,151N 16,212E
Loppupiste: 59,129N 16,056E
Suunta: 254,1°
Kallistuskulma: 66,8°
Tulonopeus: 40,5 km/s
Radiantin R,A,: 02:44 (41,2°)
Radiantin Dekl,: 57,4°
Meteoriparvi: Sporadinen
Meteoroidin rataelementit:
Perihelietäisyys: 0,475 AU
Eksentrisyys: 0,791
Inklinaatio: 62,8°
Nousevan solmun pituus: 203,4°
Perihelin argumentti: 280,6°
Keskianomalia: 347,2°
Epookki: 2025 OCT 16 20:58:54
orbit plot

Ei-interaktiivinen kuvaaja | Interaktiivinen kuvaaja

position vs time
speed and acceleration

Hagar (HGR) cam4


gnomonic
Videot:
• Gnomoninen
• Gnomoninen koordinaateilla
• Alkuperäinen
• Alkuperäinen koordinaateilla
Kuvat:
• Gnomoninen
• Gnomoninen koordinaateilla
• Alkuperäinen
• Alkuperäinen koordinaateilla
Tekstitiedostot:
• Havaintoraportti
• Observaatio
• Koordinaatit
• Loki
Kirkkaus

Harestua (HAR) cam3


gnomonic
Videot:
• Gnomoninen
• Gnomoninen koordinaateilla
• Alkuperäinen
• Alkuperäinen koordinaateilla
Kuvat:
• Gnomoninen
• Gnomoninen koordinaateilla
• Alkuperäinen
• Alkuperäinen koordinaateilla
Tekstitiedostot:
• Havaintoraportti
• Observaatio
• Koordinaatit
• Loki
Kirkkaus