🇳🇴 🇬🇧 🇩🇪 🇨🇿 🇫🇮

Meteor over Valle 2025-10-16 21:17:06 UTC

KML-fil

Kartet viser peilingene for meteoren. De lysere linjene viser retningene fra observasjonsstedene for meteorens tilsynekomst, og de mørkere linjene viser hvor den sist kunne sees. Den blå pila viser meteorens synlige ferd.

static map
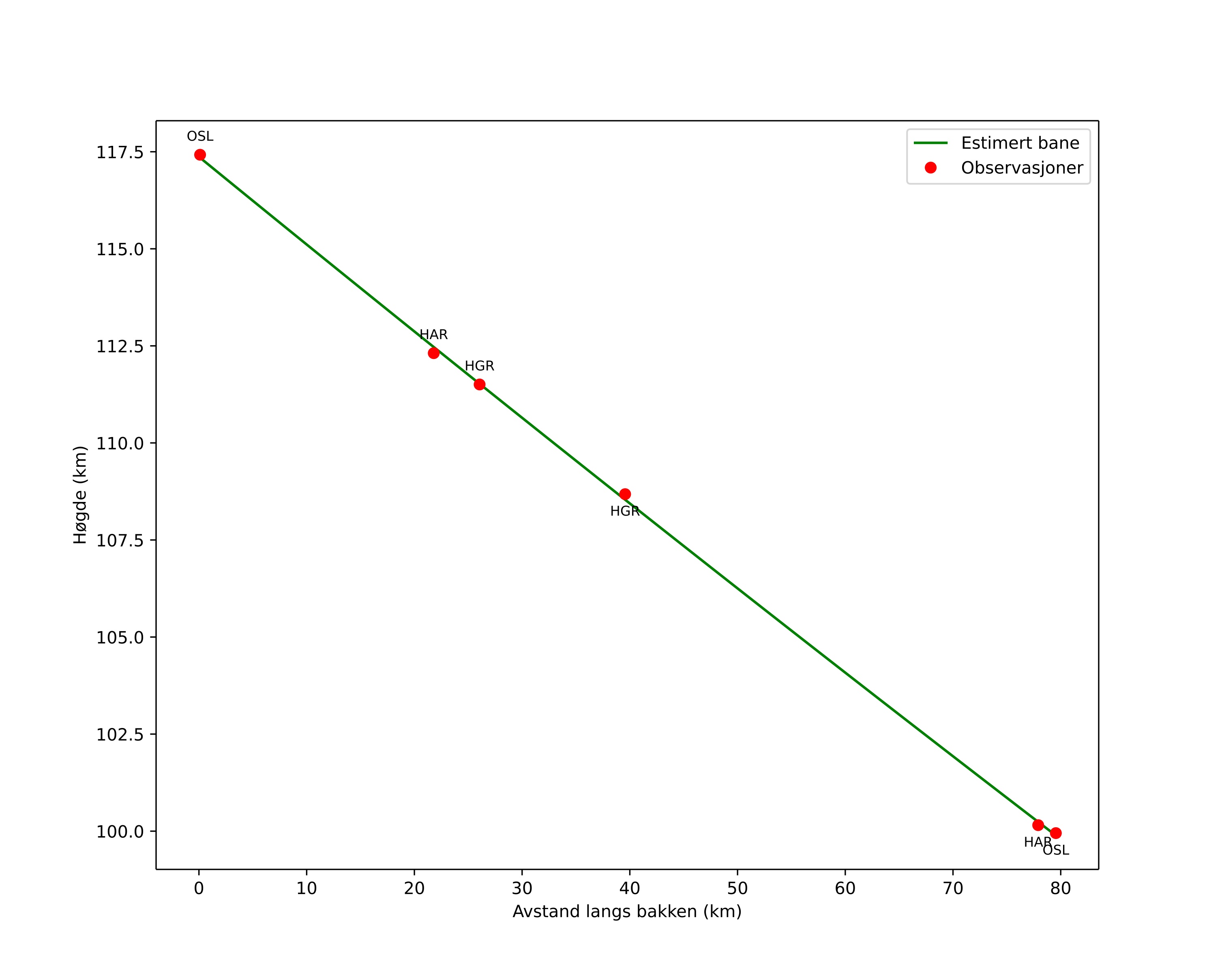
height profile
Meteorens atmosfæriske bane:
Starthøgde: 117,4 km
Slutthøgde: 99,9 km
Startposisjon: 59,119N 8,809E
Sluttposisjon: 58,951N 7,457E
Retning: 257,0°
Fallvinkel: 12,4°
Inngangshastighet: 66,3 km/s
Radiantens rektascensjon: 05:53 (88,3°)
Radiantens deklinasjon: 16,8°
Meteorsverm: Orionidene
Meteoroidens baneelement:
Perihelavstand: 0,512 AU
Eksentrisitet: 0,929
Inklinasjon: 165,2°
Knutelengde: 23,4°
Perihelargument: 90,6°
Midlere anomali: 358,0°
Epoke: 2025 OCT 16 21:17:06
orbit plot

Ikke-interaktivt plott

position vs time
speed and acceleration

Hagar (HGR) cam5


gnomonic
Videoer
• Gnomonisk
• Gnomonisk med koordinater
• Original
• Original (HEVC)
• Original med koordinater
Bilder
• Gnomonisk
• Gnomonisk med koordinater
• Original
• Original med koordinater
Tekstfiler
• Deteksjon
• Observasjon
• Koordinater
• Logg
Lysstyrke

Harestua (HAR) cam4


gnomonic
Videoer
• Gnomonisk
• Gnomonisk med koordinater
• Original
• Original (HEVC)
• Original med koordinater
Bilder
• Gnomonisk
• Gnomonisk med koordinater
• Original
• Original med koordinater
Tekstfiler
• Deteksjon
• Observasjon
• Koordinater
• Logg
Lysstyrke

Voksenlia (OSL) cam3


gnomonic
Videoer
• Gnomonisk
• Gnomonisk med koordinater
• Original
• Original (HEVC)
• Original med koordinater
Bilder
• Gnomonisk
• Gnomonisk med koordinater
• Original
• Original med koordinater
Tekstfiler
• Deteksjon
• Observasjon
• Koordinater
• Logg
Lysstyrke