🇳🇴 🇬🇧 🇩🇪 🇨🇿 🇫🇮

Meteor, poloha: Sand 2025-10-16 21:58:27 UTC

Soubor KML  |  Interaktivní mapa

Mapa zobrazuje dráhy meteoru. Světlejší čáry ukazují směry od pozorovacích stanic při objevení se meteoru a tmavší čáry, kde byl naposledy viděn. Modrá šipka značí viditelnou dráhu meteoru.

static map
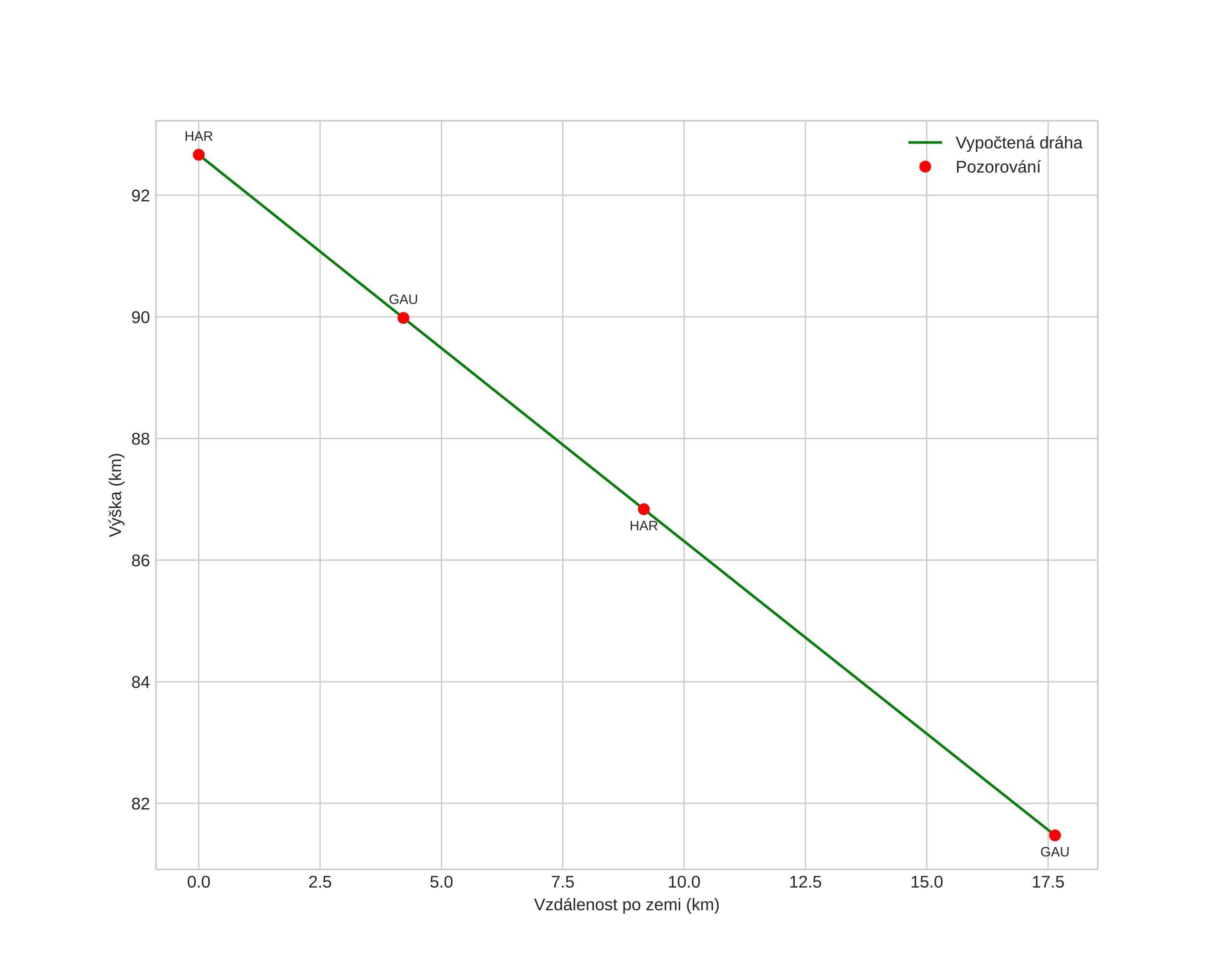
height profile
Atmosférická dráha meteoru:
Počáteční výška: 94,5 km
Konečná výška: 81,9 km
Počáteční poloha: 59,308N 6,684E
Konečná poloha: 59,417N 6,494E
Směr: 318,4°
Sklon: 37,9°
Vstupní rychlost: 29,4 km/s
Rektascenze radiantu: 02:17 (34,4°)
Deklinace radiantu: 10,9°
Meteorický roj: Jižní Tauridy
Elementy dráhy meteoroidu:
Vzdálenost v periheliu: 0,360 AU
Excentricita: 0,807
Sklon dráhy: 3,0°
Délka vzestupného uzlu: 23,5°
Argument perihelia: 115,4°
Střední anomálie: 343,1°
Epocha: 2025 OCT 16 21:58:27
orbit plot

Neinteraktivní graf | Interaktivní graf

position vs time
speed and acceleration