🇳🇴 🇬🇧 🇩🇪 🇨🇿 🇫🇮

Meteor over Ringebu 2025-10-16 22:34:39 UTC

KML-fil

Kartet viser peilingene for meteoren. De lysere linjene viser retningene fra observasjonsstedene for meteorens tilsynekomst, og de mørkere linjene viser hvor den sist kunne sees. Den blå pila viser meteorens synlige ferd.

static map
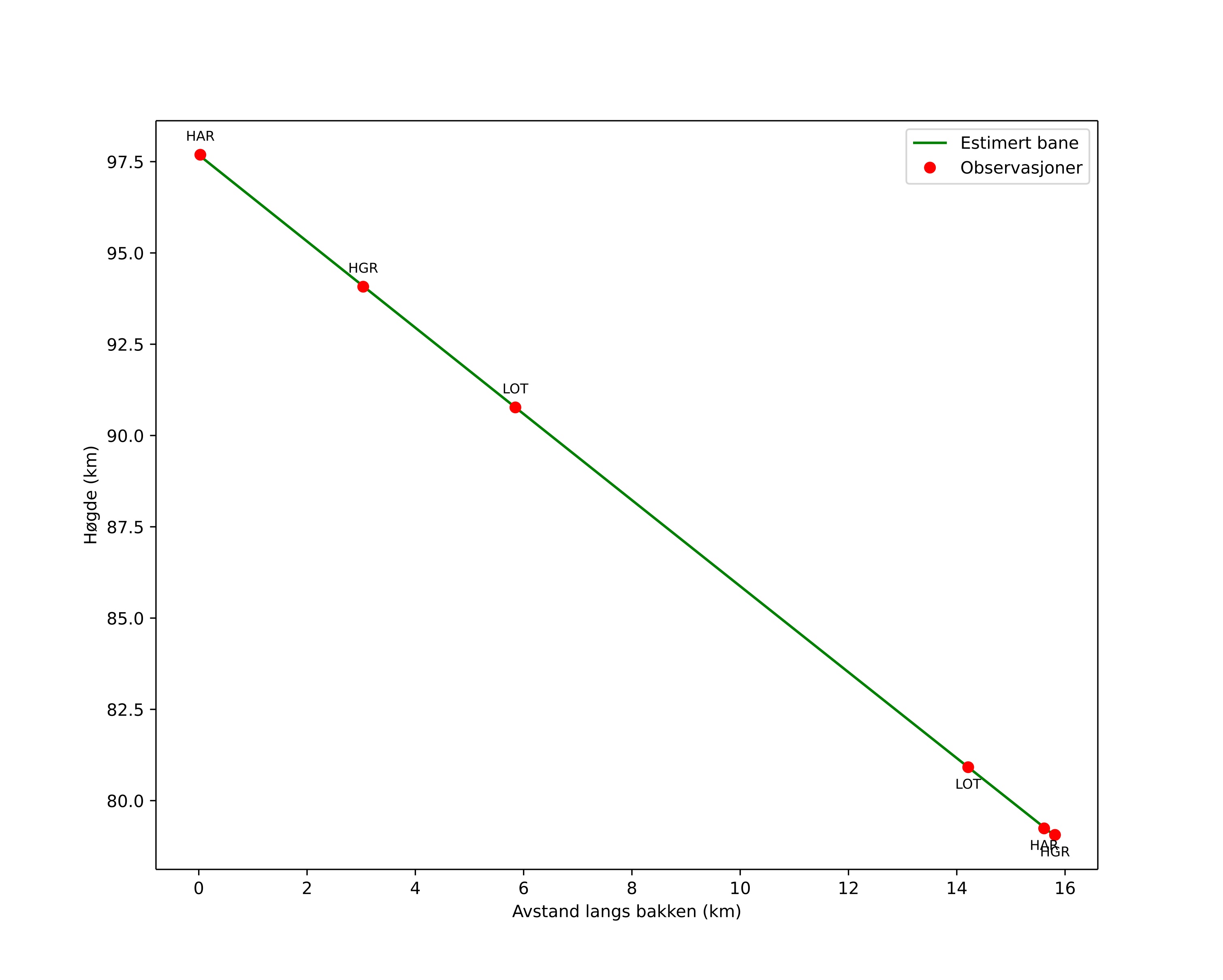
height profile
Meteorens atmosfæriske bane:
Starthøgde: 97,7 km
Slutthøgde: 79,0 km
Startposisjon: 61,559N 10,460E
Sluttposisjon: 61,688N 10,334E
Retning: 335,0°
Fallvinkel: 49,8°
Inngangshastighet: 27,8 km/s
Radiantens rektascensjon: 02:06 (31,5°)
Radiantens deklinasjon: 21,2°
Meteorsverm: sporadisk
Meteoroidens baneelement:
Perihelavstand: 0,379 AU
Eksentrisitet: 0,760
Inklinasjon: 8,3°
Knutelengde: 203,5°
Perihelargument: 295,8°
Midlere anomali: 337,1°
Epoke: 2025 OCT 16 22:34:39
orbit plot

Ikke-interaktivt plott

position vs time
speed and acceleration

Hagar (HGR) cam2


gnomonic
Videoer
• Gnomonisk
• Gnomonisk med koordinater
• Original
• Original (HEVC)
• Original med koordinater
Bilder
• Gnomonisk
• Gnomonisk med koordinater
• Original
• Original med koordinater
Tekstfiler
• Deteksjon
• Observasjon
• Koordinater
• Logg
Lysstyrke

Harestua (HAR) cam1


gnomonic
Videoer
• Gnomonisk
• Gnomonisk med koordinater
• Original
• Original (HEVC)
• Original med koordinater
Bilder
• Gnomonisk
• Gnomonisk med koordinater
• Original
• Original med koordinater
Tekstfiler
• Deteksjon
• Observasjon
• Koordinater
• Logg
Lysstyrke

Loten (LOT) cam5


gnomonic
Videoer
• Gnomonisk
• Gnomonisk med koordinater
• Original
• Original (HEVC)
• Original med koordinater
Bilder
• Gnomonisk
• Gnomonisk med koordinater
• Original
• Original med koordinater
Tekstfiler
• Deteksjon
• Observasjon
• Koordinater
• Logg
Lysstyrke