🇳🇴 🇬🇧 🇩🇪 🇨🇿 🇫🇮

Meteor over Rena 2025-10-16 22:42:21 UTC

KML-fil

Kartet viser peilingene for meteoren. De lysere linjene viser retningene fra observasjonsstedene for meteorens tilsynekomst, og de mørkere linjene viser hvor den sist kunne sees. Den blå pila viser meteorens synlige ferd.

static map
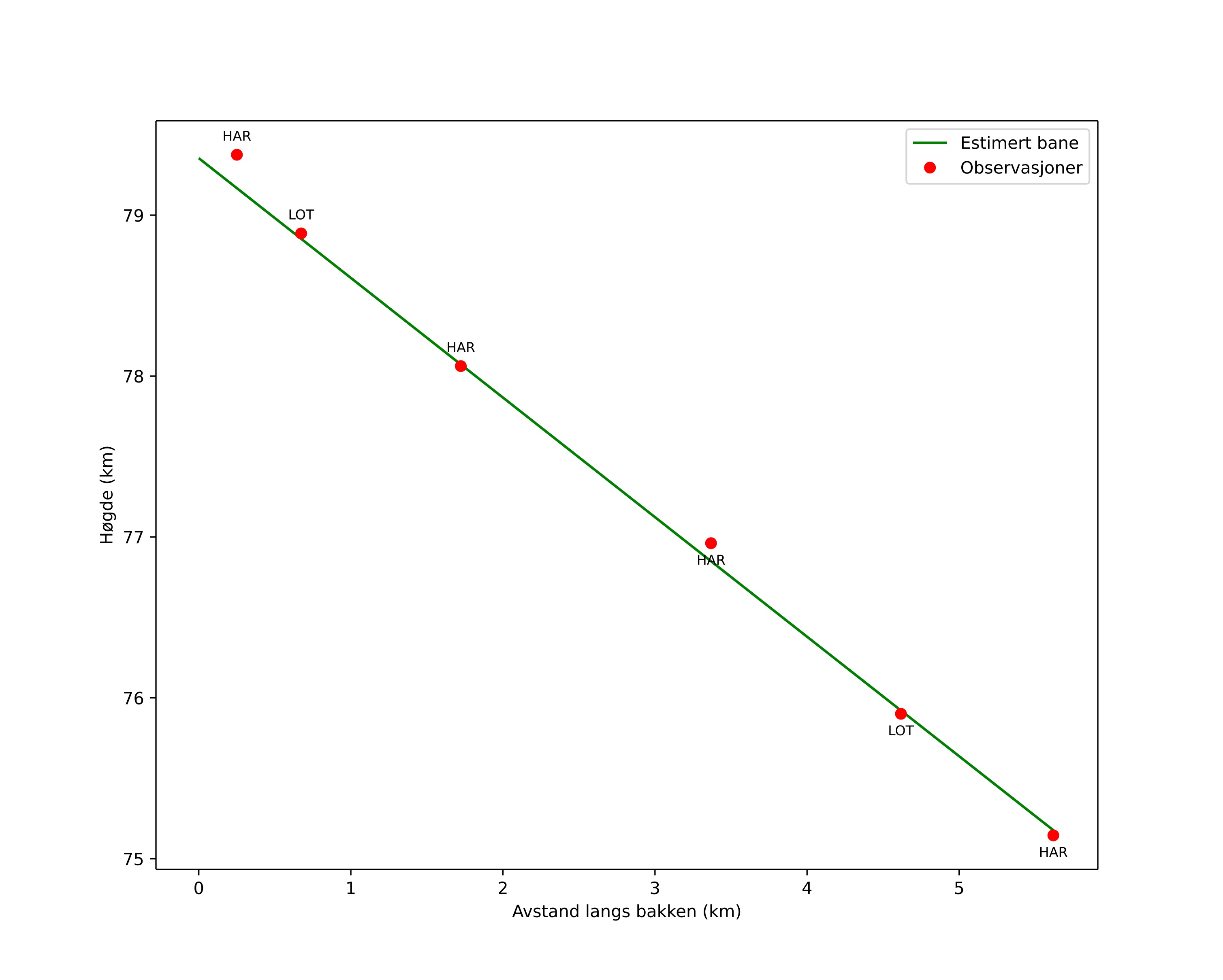
height profile
Meteorens atmosfæriske bane:
Starthøgde: 79,4 km
Slutthøgde: 75,2 km
Startposisjon: 60,945N 11,290E
Sluttposisjon: 60,995N 11,311E
Retning: 11,9°
Fallvinkel: 36,7°
Inngangshastighet: 14,9 km/s
Radiantens rektascensjon: 00:21 (5,4°)
Radiantens deklinasjon: -3,4°
Meteorsverm: sporadisk
Meteoroidens baneelement:
Perihelavstand: 0,861 AU
Eksentrisitet: 0,441
Inklinasjon: 1,6°
Knutelengde: 23,5°
Perihelargument: 56,4°
Midlere anomali: 338,2°
Epoke: 2025 OCT 16 22:42:21
orbit plot

Ikke-interaktivt plott

position vs time
speed and acceleration

Harestua (HAR) cam1


gnomonic
Videoer
• Gnomonisk
• Gnomonisk med koordinater
• Original
• Original (HEVC)
• Original med koordinater
Bilder
• Gnomonisk
• Gnomonisk med koordinater
• Original
• Original med koordinater
Tekstfiler
• Deteksjon
• Observasjon
• Koordinater
• Logg
Lysstyrke

Harestua (HAR) cam6


gnomonic
Videoer
• Gnomonisk
• Gnomonisk med koordinater
• Original
• Original (HEVC)
• Original med koordinater
Bilder
• Gnomonisk
• Gnomonisk med koordinater
• Original
• Original med koordinater
Tekstfiler
• Deteksjon
• Observasjon
• Koordinater
• Logg
Lysstyrke

Loten (LOT) cam6


gnomonic
Videoer
• Gnomonisk
• Gnomonisk med koordinater
• Original
• Original (HEVC)
• Original med koordinater
Bilder
• Gnomonisk
• Gnomonisk med koordinater
• Original
• Original med koordinater
Tekstfiler
• Deteksjon
• Observasjon
• Koordinater
• Logg
Lysstyrke