🇳🇴 🇬🇧 🇩🇪 🇨🇿 🇫🇮

Meteor over Fossbergom 2025-10-16 23:00:46 UTC

KML-fil

Kartet viser peilingene for meteoren. De lysere linjene viser retningene fra observasjonsstedene for meteorens tilsynekomst, og de mørkere linjene viser hvor den sist kunne sees. Den blå pila viser meteorens synlige ferd.

static map
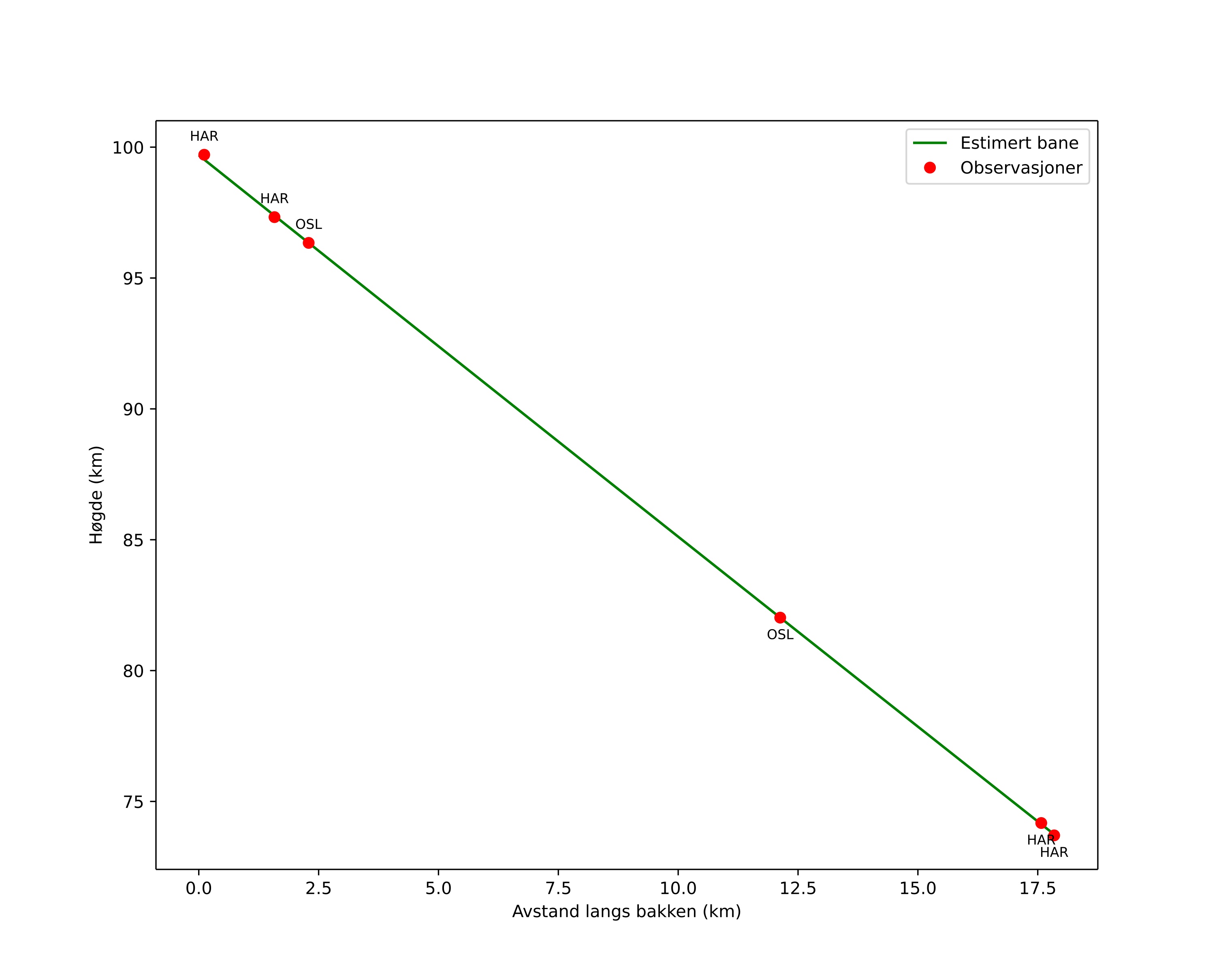
height profile
Meteorens atmosfæriske bane:
Starthøgde: 99,7 km
Slutthøgde: 73,7 km
Startposisjon: 61,503N 8,773E
Sluttposisjon: 61,655N 8,664E
Retning: 341,3°
Fallvinkel: 55,5°
Inngangshastighet: 29,5 km/s
Radiantens rektascensjon: 02:03 (30,8°)
Radiantens deklinasjon: 26,4°
Meteorsverm: sporadisk
Meteoroidens baneelement:
Perihelavstand: 0,363 AU
Eksentrisitet: 0,791
Inklinasjon: 14,8°
Knutelengde: 203,5°
Perihelargument: 296,1°
Midlere anomali: 340,8°
Epoke: 2025 OCT 16 23:00:46
orbit plot

Ikke-interaktivt plott

position vs time
speed and acceleration

Harestua (HAR) cam1


gnomonic
Videoer
• Gnomonisk
• Gnomonisk med koordinater
• Original
• Original (HEVC)
• Original med koordinater
Bilder
• Gnomonisk
• Gnomonisk med koordinater
• Original
• Original med koordinater
Tekstfiler
• Deteksjon
• Observasjon
• Koordinater
• Logg
Lysstyrke

Harestua (HAR) cam5


gnomonic
Videoer
• Gnomonisk
• Gnomonisk med koordinater
• Original
• Original (HEVC)
• Original med koordinater
Bilder
• Gnomonisk
• Gnomonisk med koordinater
• Original
• Original med koordinater
Tekstfiler
• Deteksjon
• Observasjon
• Koordinater
• Logg
Lysstyrke

Voksenlia (OSL) cam1


gnomonic
Videoer
• Gnomonisk
• Gnomonisk med koordinater
• Original
• Original (HEVC)
• Original med koordinater
Bilder
• Gnomonisk
• Gnomonisk med koordinater
• Original
• Original med koordinater
Tekstfiler
• Deteksjon
• Observasjon
• Koordinater
• Logg
Lysstyrke