🇳🇴 🇬🇧 🇩🇪 🇨🇿 🇫🇮

Meteor over Innbygda 2025-10-16 23:22:27 UTC

KML-fil  |  Interaktivt kart

Kartet viser peilingene for meteoren. De lysere linjene viser retningene fra observasjonsstedene for meteorens tilsynekomst, og de mørkere linjene viser hvor den sist kunne sees. Den blå pila viser meteorens synlige ferd.

static map
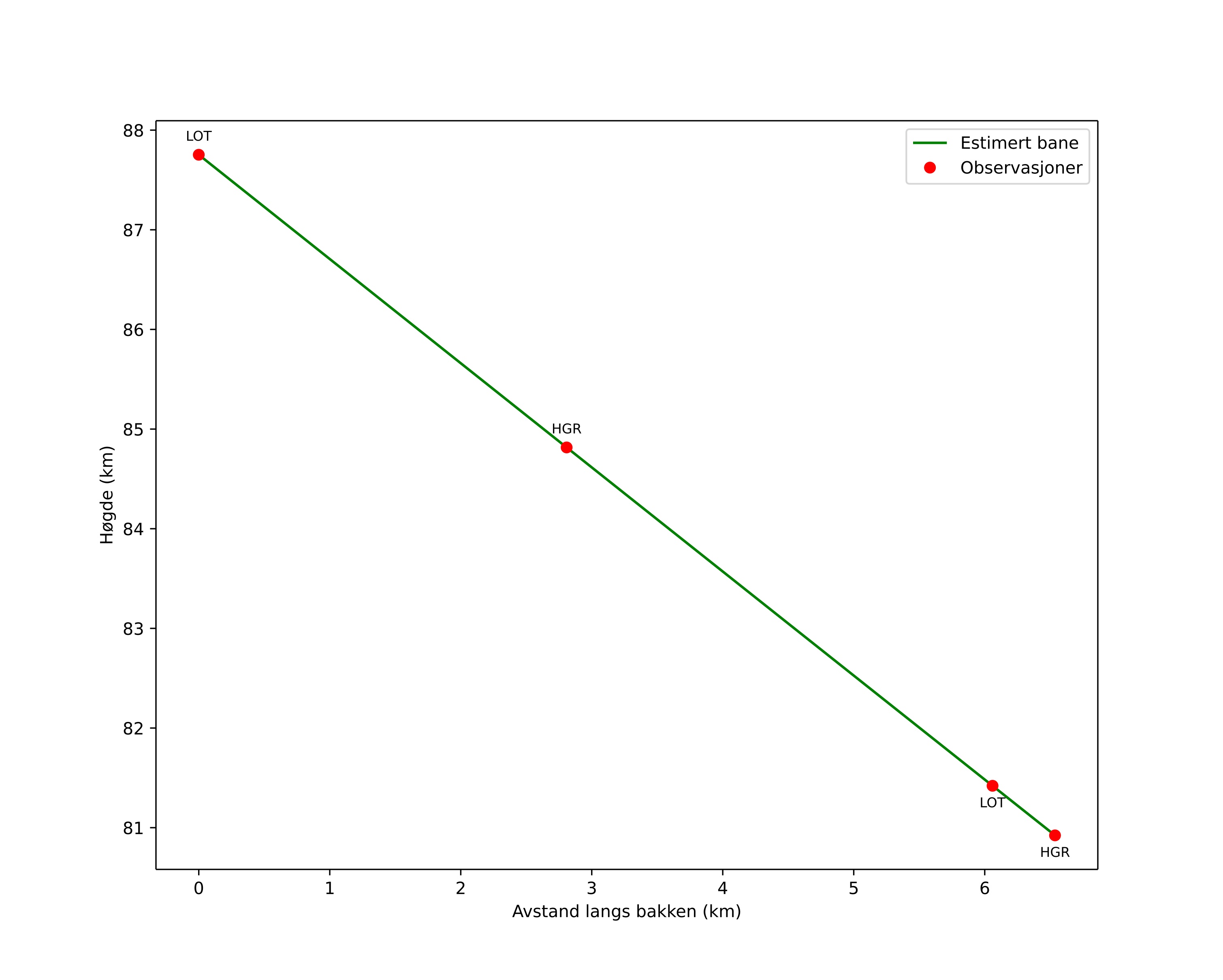
height profile
Meteorens atmosfæriske bane:
Starthøgde: 88,5 km
Slutthøgde: 80,9 km
Startposisjon: 60,997N 12,594E
Sluttposisjon: 61,046N 12,671E
Retning: 37,4°
Fallvinkel: 48,0°
Inngangshastighet: 21,1 km/s
Radiantens rektascensjon: 00:02 (0,5°)
Radiantens deklinasjon: 19,4°
Meteorsverm: sporadisk
Meteoroidens baneelement:
Perihelavstand: 0,771 AU
Eksentrisitet: 0,757
Inklinasjon: 9,0°
Knutelengde: 203,5°
Perihelargument: 241,7°
Midlere anomali: 353,3°
Epoke: 2025 OCT 16 23:22:27
orbit plot

Ikke-interaktivt plott | Interaktivt plott

position vs time
speed and acceleration

Hagar (HGR) cam3


gnomonic
Videoer
• Gnomonisk
• Gnomonisk med koordinater
• Original
• Original med koordinater
Bilder
• Gnomonisk
• Gnomonisk med koordinater
• Original
• Original med koordinater
Tekstfiler
• Deteksjon
• Observasjon
• Koordinater
• Logg
Lysstyrke

Loten (LOT) cam6


gnomonic
Videoer
• Gnomonisk
• Gnomonisk med koordinater
• Original
• Original med koordinater
Bilder
• Gnomonisk
• Gnomonisk med koordinater
• Original
• Original med koordinater
Tekstfiler
• Deteksjon
• Observasjon
• Koordinater
• Logg
Lysstyrke