🇳🇴 🇬🇧 🇩🇪 🇨🇿 🇫🇮

Meteor Rosendalin yllä 2025-10-17 03:56:47 UTC

KML-tiedosto  |  Interaktiivinen kartta

Kartta näyttää meteorin suuntahavainnot. Vaaleammat viivat näyttävät suunnat havaintoasemilta meteorin ilmestyessä, ja tummemmat viivat näyttävät, missä se viimeksi nähtiin. Sininen nuoli näyttää meteorin näkyvän lennon.

static map
height profile
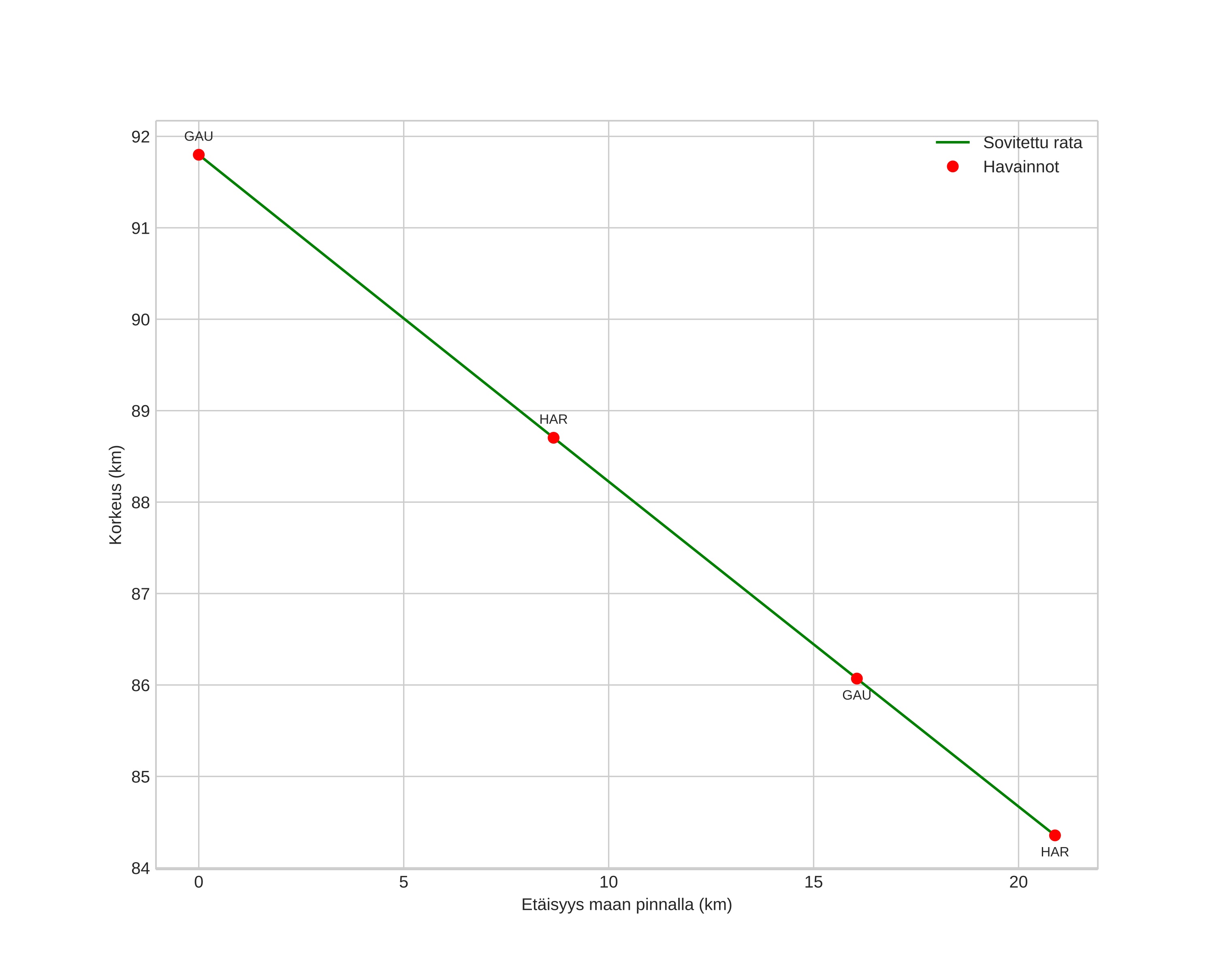
Meteorin ilmakehärata:
Alkukorkeus: 98,6 km
Loppukorkeus: 87,8 km
Alkupiste: 60,081N 6,167E
Loppupiste: 59,891N 6,132E
Suunta: 185,3°
Kallistuskulma: 27,0°
Tulonopeus: 25,1 km/s
Radiantin R,A,: 17:35 (263,9°)
Radiantin Dekl,: 53,0°
Meteoriparvi: Sporadinen
Meteoroidin rataelementit:
Perihelietäisyys: 0,991 AU
Eksentrisyys: 0,852
Inklinaatio: 32,7°
Nousevan solmun pituus: 203,7°
Perihelin argumentti: 171,0°
Keskianomalia: 0,4°
Epookki: 2025 OCT 17 03:56:47
orbit plot

Ei-interaktiivinen kuvaaja | Interaktiivinen kuvaaja

position vs time
speed and acceleration

Gaustatoppen (GAU) cam5


gnomonic
Videot:
• Gnomoninen
• Gnomoninen koordinaateilla
• Alkuperäinen
• Alkuperäinen koordinaateilla
Kuvat:
• Gnomoninen
• Gnomoninen koordinaateilla
• Alkuperäinen
• Alkuperäinen koordinaateilla
Tekstitiedostot:
• Havaintoraportti
• Observaatio
• Koordinaatit
• Loki
Kirkkaus

Harestua (HAR) cam4


gnomonic
Videot:
• Gnomoninen
• Gnomoninen koordinaateilla
• Alkuperäinen
• Alkuperäinen koordinaateilla
Kuvat:
• Gnomoninen
• Gnomoninen koordinaateilla
• Alkuperäinen
• Alkuperäinen koordinaateilla
Tekstitiedostot:
• Havaintoraportti
• Observaatio
• Koordinaatit
• Loki
Kirkkaus