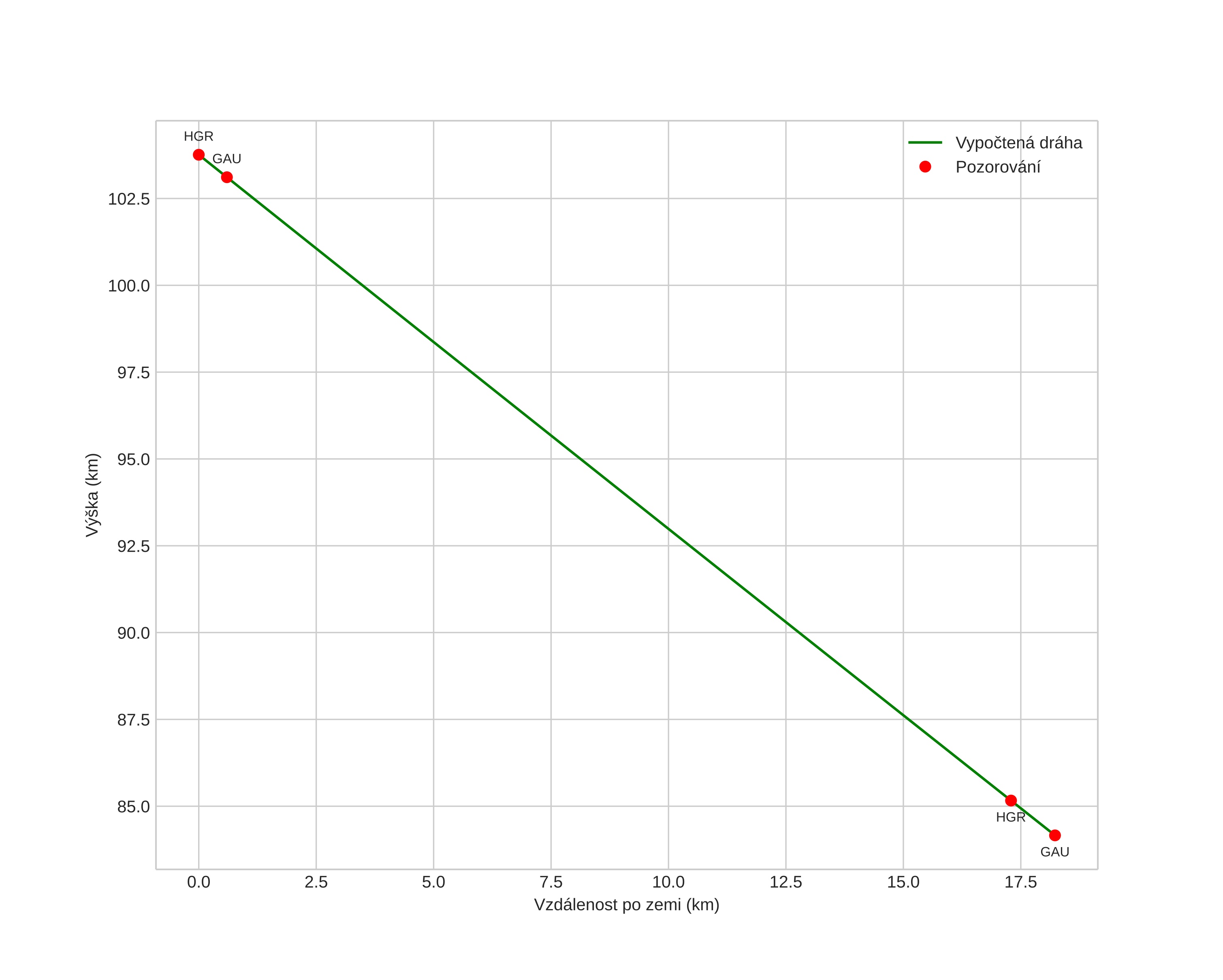
Atmosférická dráha meteoru:
| Počátečnà výška: | 104,1 km |
| Konečná výška: | 83,2 km |
| Počátečnà poloha: | 60,679N 8,414E |
| Konečná poloha: | 60,564N 8,677E |
| Směr: | 131,7° |
| Sklon: | 47,3° |
| VstupnĂ rychlost: | 40,4 km/s |
| Rektascenze radiantu: | 13:40 (205,2°) |
| Deklinace radiantu: | 58,7° |
| MeteorickĂ˝ roj: | sporadickĂ˝ |
|
Elementy dráhy meteoroidu:
| Vzdálenost v periheliu: | 0,871 AU |
| Excentricita: | 0,881 |
| Sklon dráhy: | 62,8° |
| Délka vzestupného uzlu: | 204,3° |
| Argument perihelia: | 136,9° |
| Střednà anomálie: | 1,4° |
| Epocha: | 2025 OCT 17 17:41:36 |
|