🇳🇴 🇬🇧 🇩🇪 🇨🇿 🇫🇮

Meteor over Ã…l 2025-10-17 17:41:36 UTC

KML-fil  |  Interaktivt kart

Kartet viser peilingene for meteoren. De lysere linjene viser retningene fra observasjonsstedene for meteorens tilsynekomst, og de mørkere linjene viser hvor den sist kunne sees. Den blå pila viser meteorens synlige ferd.

static map
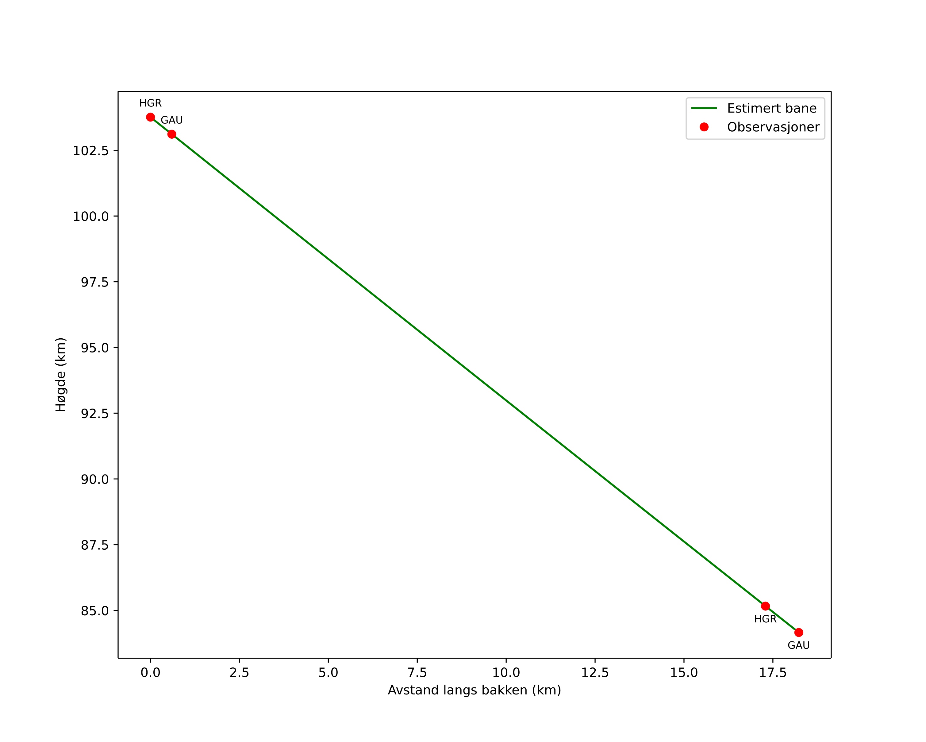
height profile
Meteorens atmosfæriske bane:
Starthøgde: 104,1 km
Slutthøgde: 83,2 km
Startposisjon: 60,679N 8,414E
Sluttposisjon: 60,564N 8,677E
Retning: 131,7°
Fallvinkel: 47,3°
Inngangshastighet: 40,4 km/s
Radiantens rektascensjon: 13:40 (205,2°)
Radiantens deklinasjon: 58,7°
Meteorsverm: sporadisk
Meteoroidens baneelement:
Perihelavstand: 0,871 AU
Eksentrisitet: 0,881
Inklinasjon: 62,8°
Knutelengde: 204,3°
Perihelargument: 136,9°
Midlere anomali: 1,4°
Epoke: 2025 OCT 17 17:41:36
orbit plot

Ikke-interaktivt plott | Interaktivt plott

position vs time
speed and acceleration

Gaustatoppen (GAU) cam6


gnomonic
Videoer
• Gnomonisk
• Gnomonisk med koordinater
• Original
• Original med koordinater
Bilder
• Gnomonisk
• Gnomonisk med koordinater
• Original
• Original med koordinater
Tekstfiler
• Deteksjon
• Observasjon
• Koordinater
• Logg
Lysstyrke

Hagar (HGR) cam1


gnomonic
Videoer
• Gnomonisk
• Gnomonisk med koordinater
• Original
• Original med koordinater
Bilder
• Gnomonisk
• Gnomonisk med koordinater
• Original
• Original med koordinater
Tekstfiler
• Deteksjon
• Observasjon
• Koordinater
• Logg
Lysstyrke