🇳🇴 🇬🇧 🇩🇪 🇨🇿 🇫🇮

Meteor Ekshäradin yllä 2025-10-17 20:43:12 UTC

KML-tiedosto

Kartta näyttää meteorin suuntahavainnot. Vaaleammat viivat näyttävät suunnat havaintoasemilta meteorin ilmestyessä, ja tummemmat viivat näyttävät, missä se viimeksi nähtiin. Sininen nuoli näyttää meteorin näkyvän lennon.

static map
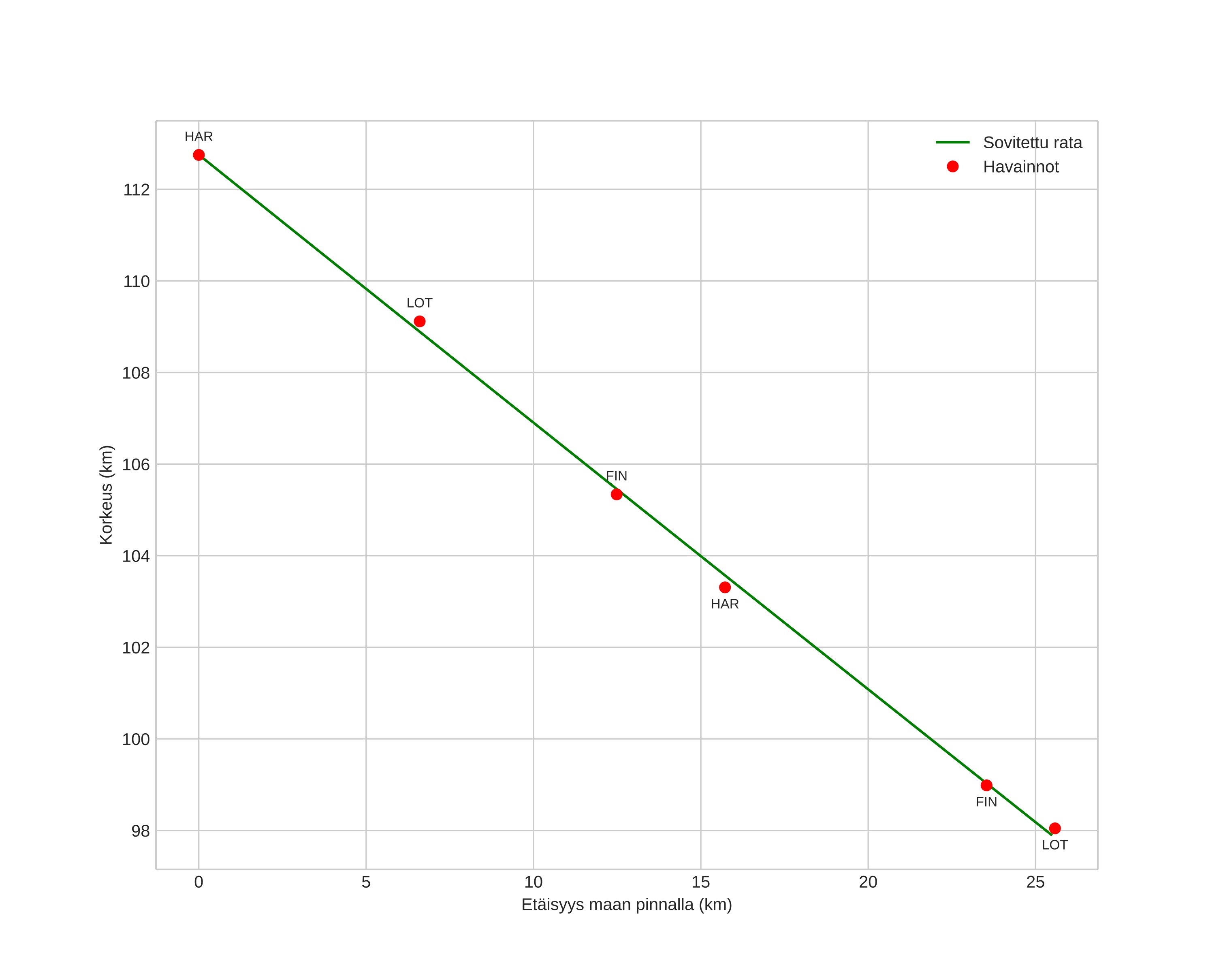
height profile
Meteorin ilmakehärata:
Alkukorkeus: 112,8 km
Loppukorkeus: 97,9 km
Alkupiste: 60,433N 13,641E
Loppupiste: 60,255N 13,350E
Suunta: 219,2°
Kallistuskulma: 30,3°
Tulonopeus: 73,0 km/s
Radiantin R,A,: 07:29 (112,3°)
Radiantin Dekl,: 50,1°
Meteoriparvi: Sporadinen
Meteoroidin rataelementit:
Perihelietäisyys: 0,963 AU
Eksentrisyys: 1,592
Inklinaatio: 134,5°
Nousevan solmun pituus: 204,4°
Perihelin argumentti: 199,1°
Keskianomalia: -5,5°
Epookki: 2025 OCT 17 20:43:12
orbit plot

Ei-interaktiivinen kuvaaja

position vs time
speed and acceleration

Finnskogen (FIN) cam3


gnomonic
Videot:
• Gnomoninen
• Gnomoninen koordinaateilla
• Alkuperäinen
• Alkuperäinen (HEVC)
• Alkuperäinen koordinaateilla
Kuvat:
• Gnomoninen
• Gnomoninen koordinaateilla
• Alkuperäinen
• Alkuperäinen koordinaateilla
Tekstitiedostot:
• Havaintoraportti
• Observaatio
• Koordinaatit
• Loki
Kirkkaus

Harestua (HAR) cam2


gnomonic
Videot:
• Gnomoninen
• Gnomoninen koordinaateilla
• Alkuperäinen
• Alkuperäinen (HEVC)
• Alkuperäinen koordinaateilla
Kuvat:
• Gnomoninen
• Gnomoninen koordinaateilla
• Alkuperäinen
• Alkuperäinen koordinaateilla
Tekstitiedostot:
• Havaintoraportti
• Observaatio
• Koordinaatit
• Loki
Kirkkaus

Loten (LOT) cam2


gnomonic
Videot:
• Gnomoninen
• Gnomoninen koordinaateilla
• Alkuperäinen
• Alkuperäinen (HEVC)
• Alkuperäinen koordinaateilla
Kuvat:
• Gnomoninen
• Gnomoninen koordinaateilla
• Alkuperäinen
• Alkuperäinen koordinaateilla
Tekstitiedostot:
• Havaintoraportti
• Observaatio
• Koordinaatit
• Loki
Kirkkaus