🇳🇴 🇬🇧 🇩🇪 🇨🇿 🇫🇮

Meteor Brumunddalin yllä 2025-10-17 21:07:35 UTC

KML-tiedosto  |  Interaktiivinen kartta

Kartta näyttää meteorin suuntahavainnot. Vaaleammat viivat näyttävät suunnat havaintoasemilta meteorin ilmestyessä, ja tummemmat viivat näyttävät, missä se viimeksi nähtiin. Sininen nuoli näyttää meteorin näkyvän lennon.

static map
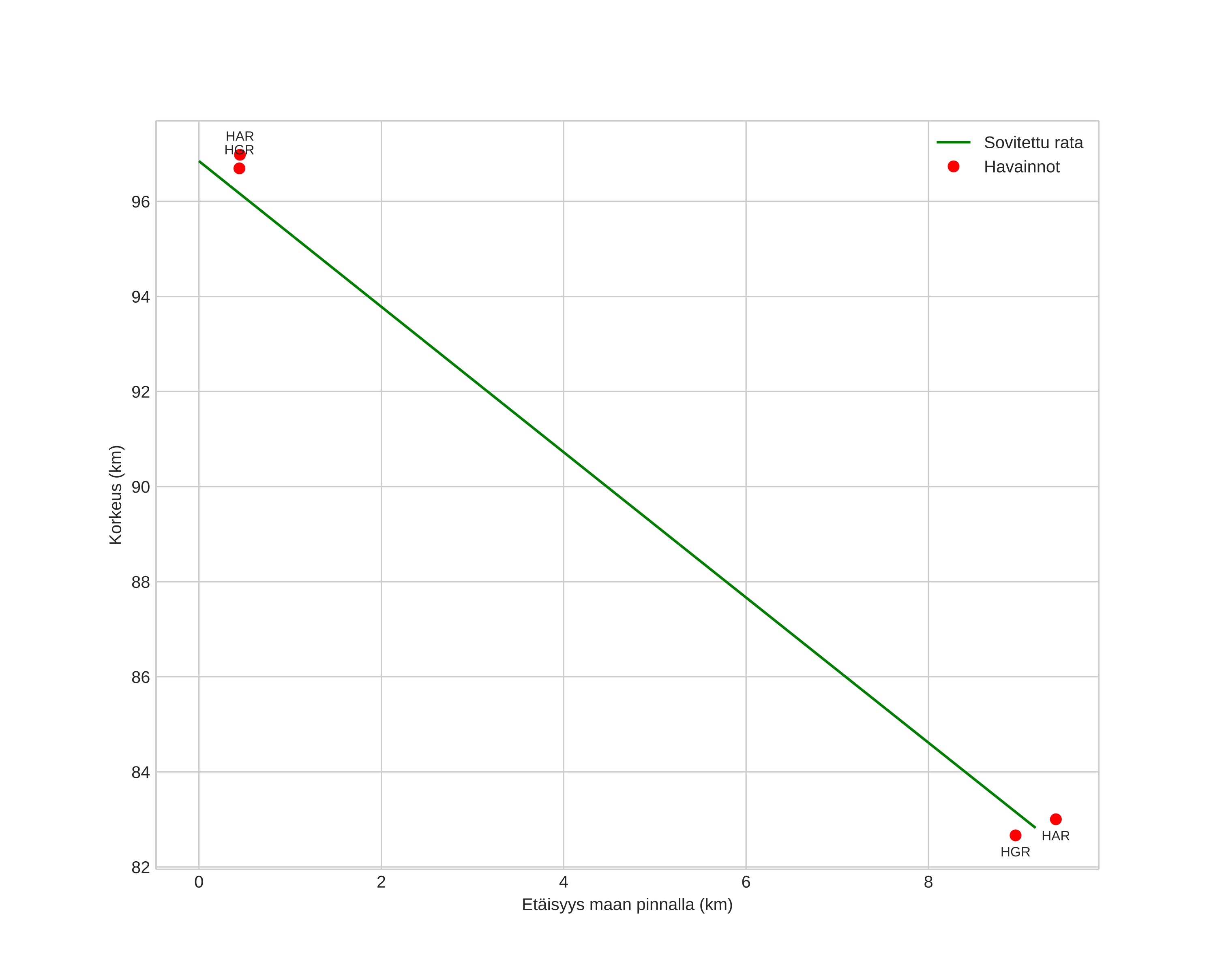
height profile
Meteorin ilmakehärata:
Alkukorkeus: 80,6 km
Loppukorkeus: 70,3 km
Alkupiste: 60,847N 10,890E
Loppupiste: 60,856N 10,828E
Suunta: 286,7°
Kallistuskulma: 71,2°
Tulonopeus: 30,5 km/s
Radiantin R,A,: 01:34 (23,7°)
Radiantin Dekl,: 50,8°
Meteoriparvi: Sporadinen
Meteoroidin rataelementit:
Perihelietäisyys: 0,536 AU
Eksentrisyys: 0,701
Inklinaatio: 37,3°
Nousevan solmun pituus: 204,4°
Perihelin argumentti: 277,0°
Keskianomalia: 340,4°
Epookki: 2025 OCT 17 21:07:35
orbit plot

Ei-interaktiivinen kuvaaja | Interaktiivinen kuvaaja

position vs time
speed and acceleration

Hagar (HGR) cam7


gnomonic
Videot:
• Gnomoninen
• Gnomoninen koordinaateilla
• Alkuperäinen
• Alkuperäinen koordinaateilla
Kuvat:
• Gnomoninen
• Gnomoninen koordinaateilla
• Alkuperäinen
• Alkuperäinen koordinaateilla
Tekstitiedostot:
• Havaintoraportti
• Observaatio
• Koordinaatit
• Loki
Kirkkaus

Harestua (HAR) cam6


gnomonic
Videot:
• Gnomoninen
• Gnomoninen koordinaateilla
• Alkuperäinen
• Alkuperäinen koordinaateilla
Kuvat:
• Gnomoninen
• Gnomoninen koordinaateilla
• Alkuperäinen
• Alkuperäinen koordinaateilla
Tekstitiedostot:
• Havaintoraportti
• Observaatio
• Koordinaatit
• Loki
Kirkkaus