🇳🇴 🇬🇧 🇩🇪 🇨🇿 🇫🇮

Meteor over Engerdal 2025-10-17 22:48:36 UTC

KML-fil  |  Interaktivt kart

Kartet viser peilingene for meteoren. De lysere linjene viser retningene fra observasjonsstedene for meteorens tilsynekomst, og de mørkere linjene viser hvor den sist kunne sees. Den blå pila viser meteorens synlige ferd.

static map
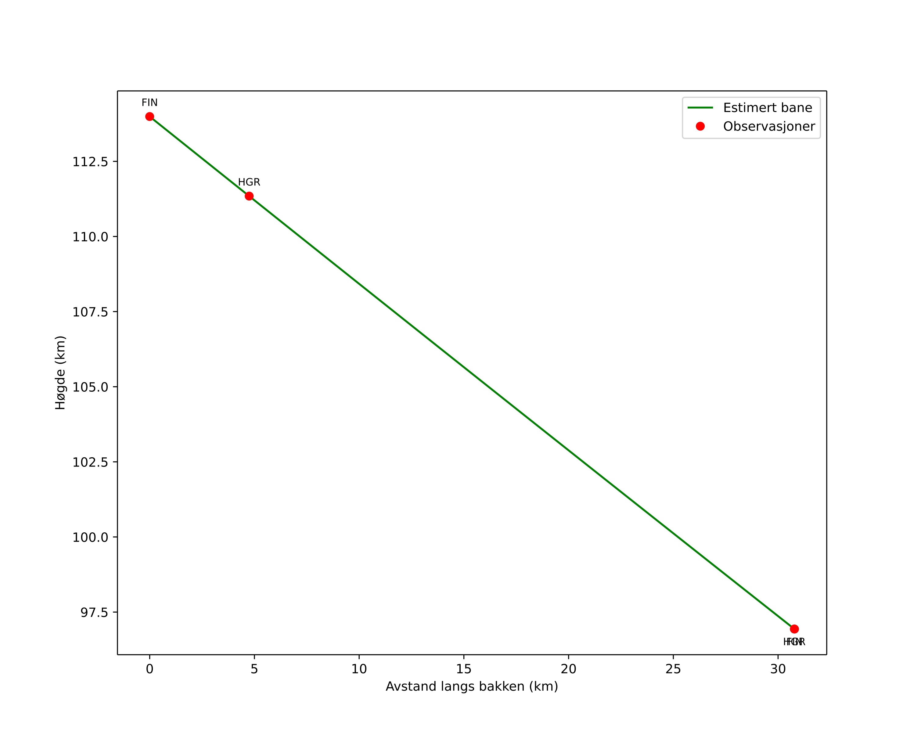
height profile
Meteorens atmosfæriske bane:
Starthøgde: 112,8 km
Slutthøgde: 96,1 km
Startposisjon: 61,810N 12,712E
Sluttposisjon: 61,786N 12,151E
Retning: 265,1°
Fallvinkel: 29,4°
Inngangshastighet: 72,4 km/s
Radiantens rektascensjon: 06:41 (100,4°)
Radiantens deklinasjon: 27,7°
Meteorsverm: epsilon-geminidene
Meteoroidens baneelement:
Perihelavstand: 0,812 AU
Eksentrisitet: 1,106
Inklinasjon: 171,6°
Knutelengde: 204,5°
Perihelargument: 229,7°
Midlere anomali: -1,4°
Epoke: 2025 OCT 17 22:48:36
orbit plot

Ikke-interaktivt plott | Interaktivt plott

position vs time
speed and acceleration

Finnskogen (FIN) cam6


gnomonic
Videoer
• Gnomonisk
• Gnomonisk med koordinater
• Original
• Original med koordinater
Bilder
• Gnomonisk
• Gnomonisk med koordinater
• Original
• Original med koordinater
Tekstfiler
• Deteksjon
• Observasjon
• Koordinater
• Logg
Lysstyrke

Hagar (HGR) cam3


gnomonic
Videoer
• Gnomonisk
• Gnomonisk med koordinater
• Original
• Original med koordinater
Bilder
• Gnomonisk
• Gnomonisk med koordinater
• Original
• Original med koordinater
Tekstfiler
• Deteksjon
• Observasjon
• Koordinater
• Logg
Lysstyrke