🇳🇴 🇬🇧 🇩🇪 🇨🇿 🇫🇮

Meteor Engerdalin yllä 2025-10-17 22:48:36 UTC

KML-tiedosto  |  Interaktiivinen kartta

Kartta näyttää meteorin suuntahavainnot. Vaaleammat viivat näyttävät suunnat havaintoasemilta meteorin ilmestyessä, ja tummemmat viivat näyttävät, missä se viimeksi nähtiin. Sininen nuoli näyttää meteorin näkyvän lennon.

static map
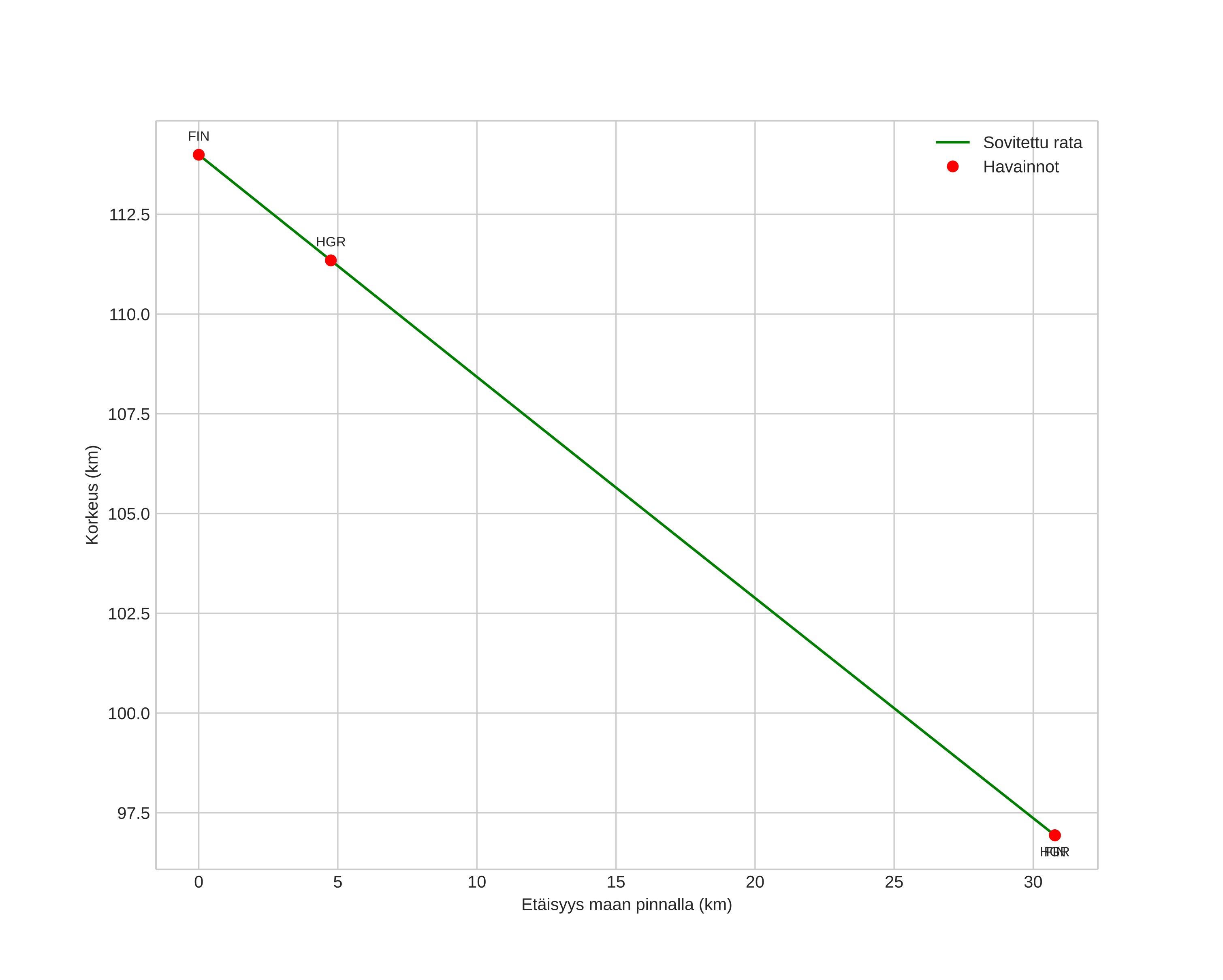
height profile
Meteorin ilmakehärata:
Alkukorkeus: 112,8 km
Loppukorkeus: 96,1 km
Alkupiste: 61,810N 12,712E
Loppupiste: 61,786N 12,151E
Suunta: 265,1°
Kallistuskulma: 29,4°
Tulonopeus: 72,4 km/s
Radiantin R,A,: 06:41 (100,4°)
Radiantin Dekl,: 27,7°
Meteoriparvi: epsilon-geminidene
Meteoroidin rataelementit:
Perihelietäisyys: 0,812 AU
Eksentrisyys: 1,106
Inklinaatio: 171,6°
Nousevan solmun pituus: 204,5°
Perihelin argumentti: 229,7°
Keskianomalia: -1,4°
Epookki: 2025 OCT 17 22:48:36
orbit plot

Ei-interaktiivinen kuvaaja | Interaktiivinen kuvaaja

position vs time
speed and acceleration

Finnskogen (FIN) cam6


gnomonic
Videot:
• Gnomoninen
• Gnomoninen koordinaateilla
• Alkuperäinen
• Alkuperäinen koordinaateilla
Kuvat:
• Gnomoninen
• Gnomoninen koordinaateilla
• Alkuperäinen
• Alkuperäinen koordinaateilla
Tekstitiedostot:
• Havaintoraportti
• Observaatio
• Koordinaatit
• Loki
Kirkkaus

Hagar (HGR) cam3


gnomonic
Videot:
• Gnomoninen
• Gnomoninen koordinaateilla
• Alkuperäinen
• Alkuperäinen koordinaateilla
Kuvat:
• Gnomoninen
• Gnomoninen koordinaateilla
• Alkuperäinen
• Alkuperäinen koordinaateilla
Tekstitiedostot:
• Havaintoraportti
• Observaatio
• Koordinaatit
• Loki
Kirkkaus