🇳🇴 🇬🇧 🇩🇪 🇨🇿 🇫🇮

Meteor über Ulefoss 2025-10-18 00:01:42 UTC

KML-Datei

Die Karte zeigt die Peilungen für den Meteor. Die helleren Linien zeigen die Richtungen von den Beobachtungsorten beim Erscheinen des Meteors, und die dunkleren Linien, wo er zuletzt gesehen wurde. Der blaue Pfeil zeigt die sichtbare Bahn des Meteors.

static map
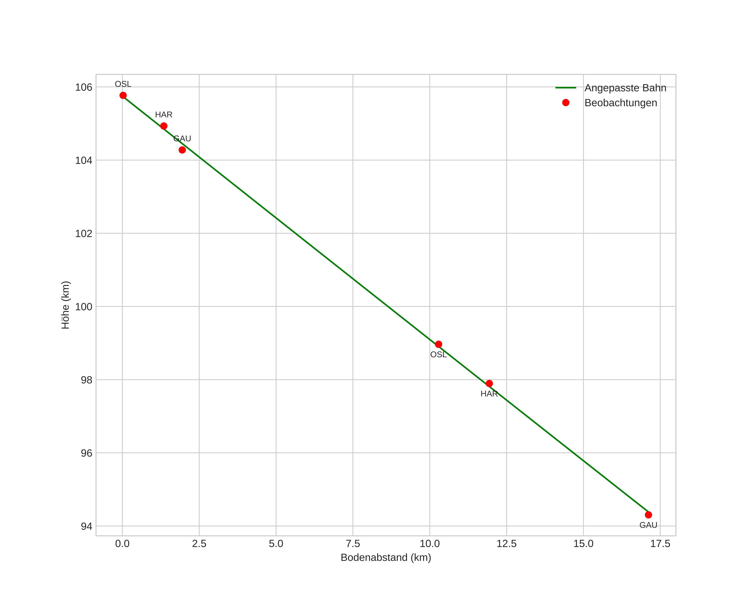
height profile
Atmosphärische Bahn des Meteors:
Anfangshöhe: 105,7 km
Endhöhe: 94,4 km
Startposition: 59,071N 9,586E
Endposition: 59,134N 9,311E
Richtung: 293,9°
Neigungswinkel: 33,4°
Eintrittsgeschwindigkeit: 65,8 km/s
Rektaszension des Radianten: 05:57 (89,4°)
Deklination des Radianten: 16,9°
Meteorstrom: Orioniden
Bahnelemente des Meteoroiden:
Periheldistanz: 0,500 AU
Exzentrizität: 0,911
Inklination: 165,5°
Länge des aufsteigenden Knotens: 24,5°
Argument des Perihels: 92,5°
Mittlere Anomalie: 357,0°
Epoche: 2025 OCT 18 00:01:42
orbit plot

Nicht-interaktives Diagramm

position vs time
speed and acceleration

Gaustatoppen (GAU) cam7


gnomonic
Videos
• Gnomonisch
• Gnomonisch mit Koordinaten
• Original
• Original (HEVC)
• Original mit Koordinaten
Bilder
• Gnomonisch
• Gnomonisch mit Koordinaten
• Original
• Original mit Koordinaten
Textdateien
• Erkennung
• Beobachtung
• Koordinaten
• Protokoll
Helligkeit

Harestua (HAR) cam4


gnomonic
Videos
• Gnomonisch
• Gnomonisch mit Koordinaten
• Original
• Original (HEVC)
• Original mit Koordinaten
Bilder
• Gnomonisch
• Gnomonisch mit Koordinaten
• Original
• Original mit Koordinaten
Textdateien
• Erkennung
• Beobachtung
• Koordinaten
• Protokoll
Helligkeit

Voksenlia (OSL) cam3


gnomonic
Videos
• Gnomonisch
• Gnomonisch mit Koordinaten
• Original
• Original (HEVC)
• Original mit Koordinaten
Bilder
• Gnomonisch
• Gnomonisch mit Koordinaten
• Original
• Original mit Koordinaten
Textdateien
• Erkennung
• Beobachtung
• Koordinaten
• Protokoll
Helligkeit