🇳🇴 🇬🇧 🇩🇪 🇨🇿 🇫🇮

Meteor über Malung 2025-10-18 00:51:18 UTC

KML-Datei

Die Karte zeigt die Peilungen für den Meteor. Die helleren Linien zeigen die Richtungen von den Beobachtungsorten beim Erscheinen des Meteors, und die dunkleren Linien, wo er zuletzt gesehen wurde. Der blaue Pfeil zeigt die sichtbare Bahn des Meteors.

static map
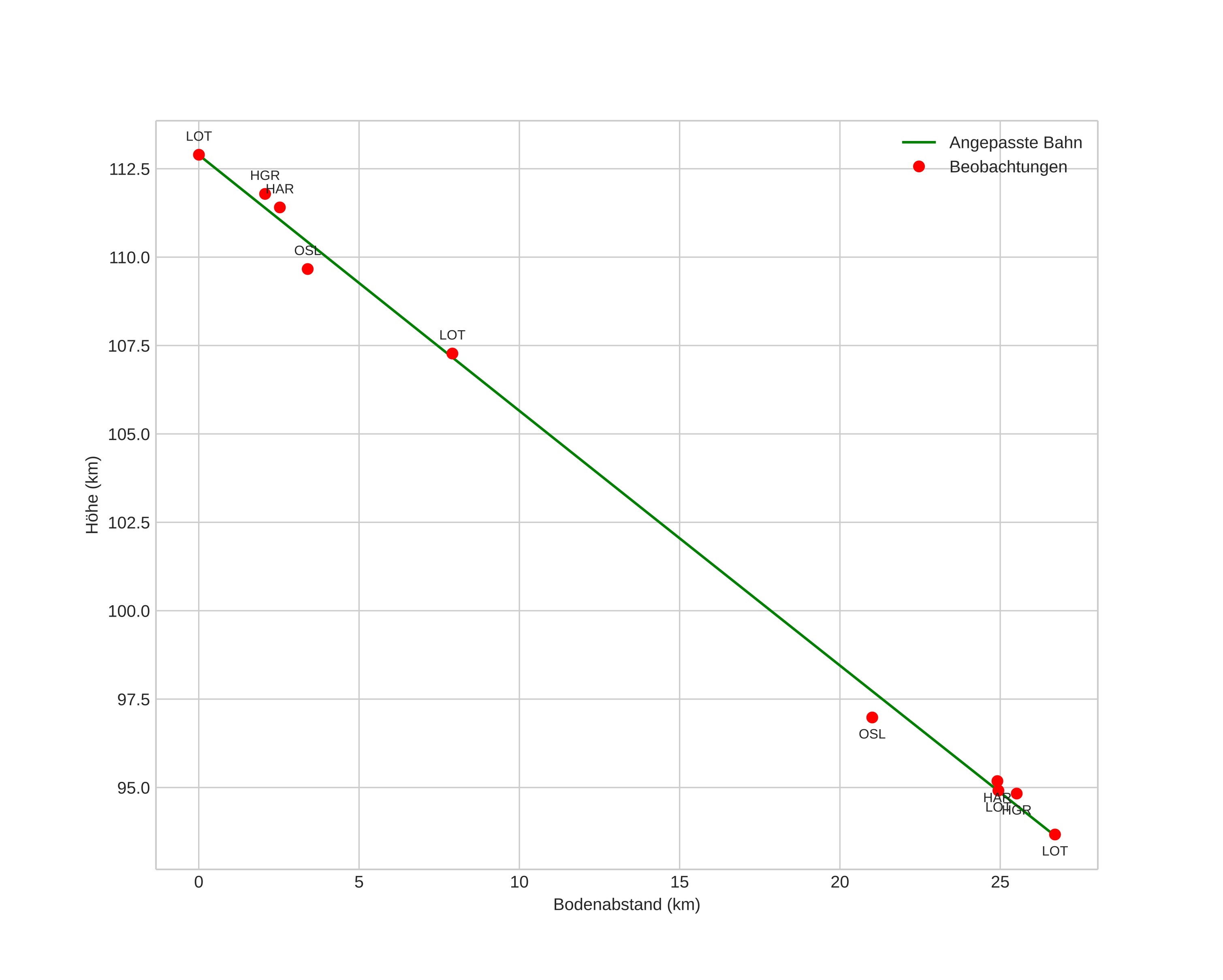
height profile
Atmosphärische Bahn des Meteors:
Anfangshöhe: 112,9 km
Endhöhe: 93,6 km
Startposition: 60,734N 13,518E
Endposition: 60,888N 13,141E
Richtung: 310,0°
Neigungswinkel: 35,9°
Eintrittsgeschwindigkeit: 69,3 km/s
Rektaszension des Radianten: 06:10 (92,5°)
Deklination des Radianten: 14,5°
Meteorstrom: Orioniden
Bahnelemente des Meteoroiden:
Periheldistanz: 0,643 AU
Exzentrizität: 1,041
Inklination: 162,0°
Länge des aufsteigenden Knotens: 24,5°
Argument des Perihels: 72,3°
Mittlere Anomalie: -0,6°
Epoche: 2025 OCT 18 00:51:18
orbit plot

Nicht-interaktives Diagramm

position vs time
speed and acceleration

Hagar (HGR) cam3


gnomonic
Videos
• Gnomonisch
• Gnomonisch mit Koordinaten
• Original
• Original (HEVC)
• Original mit Koordinaten
Bilder
• Gnomonisch
• Gnomonisch mit Koordinaten
• Original
• Original mit Koordinaten
Textdateien
• Erkennung
• Beobachtung
• Koordinaten
• Protokoll
Helligkeit

Harestua (HAR) cam2


gnomonic
Videos
• Gnomonisch
• Gnomonisch mit Koordinaten
• Original
• Original (HEVC)
• Original mit Koordinaten
Bilder
• Gnomonisch
• Gnomonisch mit Koordinaten
• Original
• Original mit Koordinaten
Textdateien
• Erkennung
• Beobachtung
• Koordinaten
• Protokoll
Helligkeit

Loten (LOT) cam2


gnomonic
Videos
• Gnomonisch
• Gnomonisch mit Koordinaten
• Original
• Original (HEVC)
• Original mit Koordinaten
Bilder
• Gnomonisch
• Gnomonisch mit Koordinaten
• Original
• Original mit Koordinaten
Textdateien
• Erkennung
• Beobachtung
• Koordinaten
• Protokoll
Helligkeit

Loten (LOT) cam7


gnomonic
Videos
• Gnomonisch
• Gnomonisch mit Koordinaten
• Original
• Original (HEVC)
• Original mit Koordinaten
Bilder
• Gnomonisch
• Gnomonisch mit Koordinaten
• Original
• Original mit Koordinaten
Textdateien
• Erkennung
• Beobachtung
• Koordinaten
• Protokoll
Helligkeit

Voksenlia (OSL) cam5


gnomonic
Videos
• Gnomonisch
• Gnomonisch mit Koordinaten
• Original
• Original (HEVC)
• Original mit Koordinaten
Bilder
• Gnomonisch
• Gnomonisch mit Koordinaten
• Original
• Original mit Koordinaten
Textdateien
• Erkennung
• Beobachtung
• Koordinaten
• Protokoll
Helligkeit