🇳🇴 🇬🇧 🇩🇪 🇨🇿 🇫🇮

Meteor, poloha: Langesund 2025-10-18 01:50:39 UTC

Soubor KML  |  Interaktivní mapa

Mapa zobrazuje dráhy meteoru. Světlejší čáry ukazují směry od pozorovacích stanic při objevení se meteoru a tmavší čáry, kde byl naposledy viděn. Modrá šipka značí viditelnou dráhu meteoru.

static map
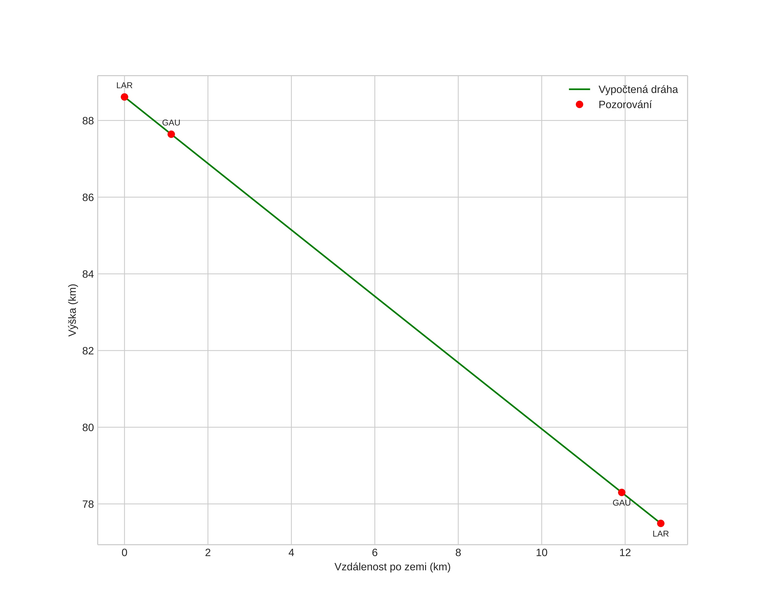
height profile
Atmosférická dráha meteoru:
Počáteční výška: 96,8 km
Konečná výška: 77,3 km
Počáteční poloha: 58,663N 9,583E
Konečná poloha: 58,832N 9,795E
Směr: 32,9°
Sklon: 40,9°
Vstupní rychlost: 30,6 km/s
Rektascenze radiantu: 02:30 (37,7°)
Deklinace radiantu: 11,3°
Meteorický roj: Jižní Tauridy
Elementy dráhy meteoroidu:
Vzdálenost v periheliu: 0,319 AU
Excentricita: 0,832
Sklon dráhy: 4,2°
Délka vzestupného uzlu: 24,6°
Argument perihelia: 119,8°
Střední anomálie: 343,9°
Epocha: 2025 OCT 18 01:50:39
orbit plot

Neinteraktivní graf | Interaktivní graf

position vs time
speed and acceleration