🇳🇴 🇬🇧 🇩🇪 🇨🇿 🇫🇮

Meteor Westerlandin yllä 2025-10-18 02:42:09 UTC

KML-tiedosto  |  Interaktiivinen kartta

Kartta näyttää meteorin suuntahavainnot. Vaaleammat viivat näyttävät suunnat havaintoasemilta meteorin ilmestyessä, ja tummemmat viivat näyttävät, missä se viimeksi nähtiin. Sininen nuoli näyttää meteorin näkyvän lennon.

static map
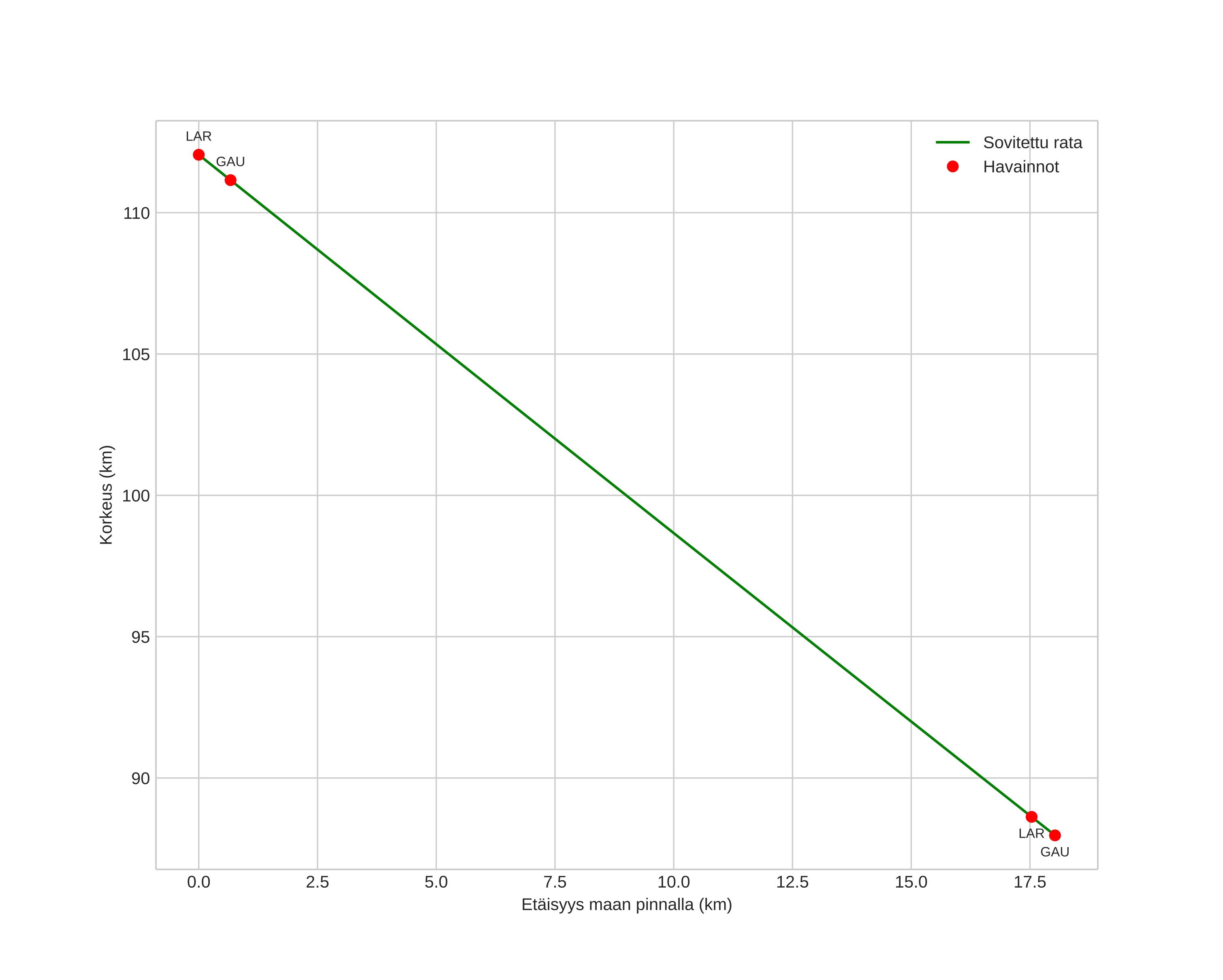
height profile
Meteorin ilmakehärata:
Alkukorkeus: 111,2 km
Loppukorkeus: 87,5 km
Alkupiste: 54,955N 7,607E
Loppupiste: 55,081N 7,446E
Suunta: 323,9°
Kallistuskulma: 53,7°
Tulonopeus: 52,4 km/s
Radiantin R,A,: 06:26 (96,6°)
Radiantin Dekl,: 22,2°
Meteoriparvi: Sporadinen
Meteoroidin rataelementit:
Perihelietäisyys: 0,228 AU
Eksentrisyys: 0,704
Inklinaatio: 177,0°
Nousevan solmun pituus: 24,6°
Perihelin argumentti: 150,1°
Keskianomalia: 281,8°
Epookki: 2025 OCT 18 02:42:09
orbit plot

Ei-interaktiivinen kuvaaja | Interaktiivinen kuvaaja

position vs time
speed and acceleration

Gaustatoppen (GAU) cam4


gnomonic
Videot:
• Gnomoninen
• Gnomoninen koordinaateilla
• Alkuperäinen
• Alkuperäinen koordinaateilla
Kuvat:
• Gnomoninen
• Gnomoninen koordinaateilla
• Alkuperäinen
• Alkuperäinen koordinaateilla
Tekstitiedostot:
• Havaintoraportti
• Observaatio
• Koordinaatit
• Loki
Kirkkaus

Larvik (LAR) cam4


gnomonic
Videot:
• Gnomoninen
• Gnomoninen koordinaateilla
• Alkuperäinen
• Alkuperäinen koordinaateilla
Kuvat:
• Gnomoninen
• Gnomoninen koordinaateilla
• Alkuperäinen
• Alkuperäinen koordinaateilla
Tekstitiedostot:
• Havaintoraportti
• Observaatio
• Koordinaatit
• Loki
Kirkkaus