🇳🇴 🇬🇧 🇩🇪 🇨🇿 🇫🇮

Meteor over Stange 2025-10-18 03:55:24 UTC

KML-fil  |  Interaktivt kart

Kartet viser peilingene for meteoren. De lysere linjene viser retningene fra observasjonsstedene for meteorens tilsynekomst, og de mørkere linjene viser hvor den sist kunne sees. Den blå pila viser meteorens synlige ferd.

static map
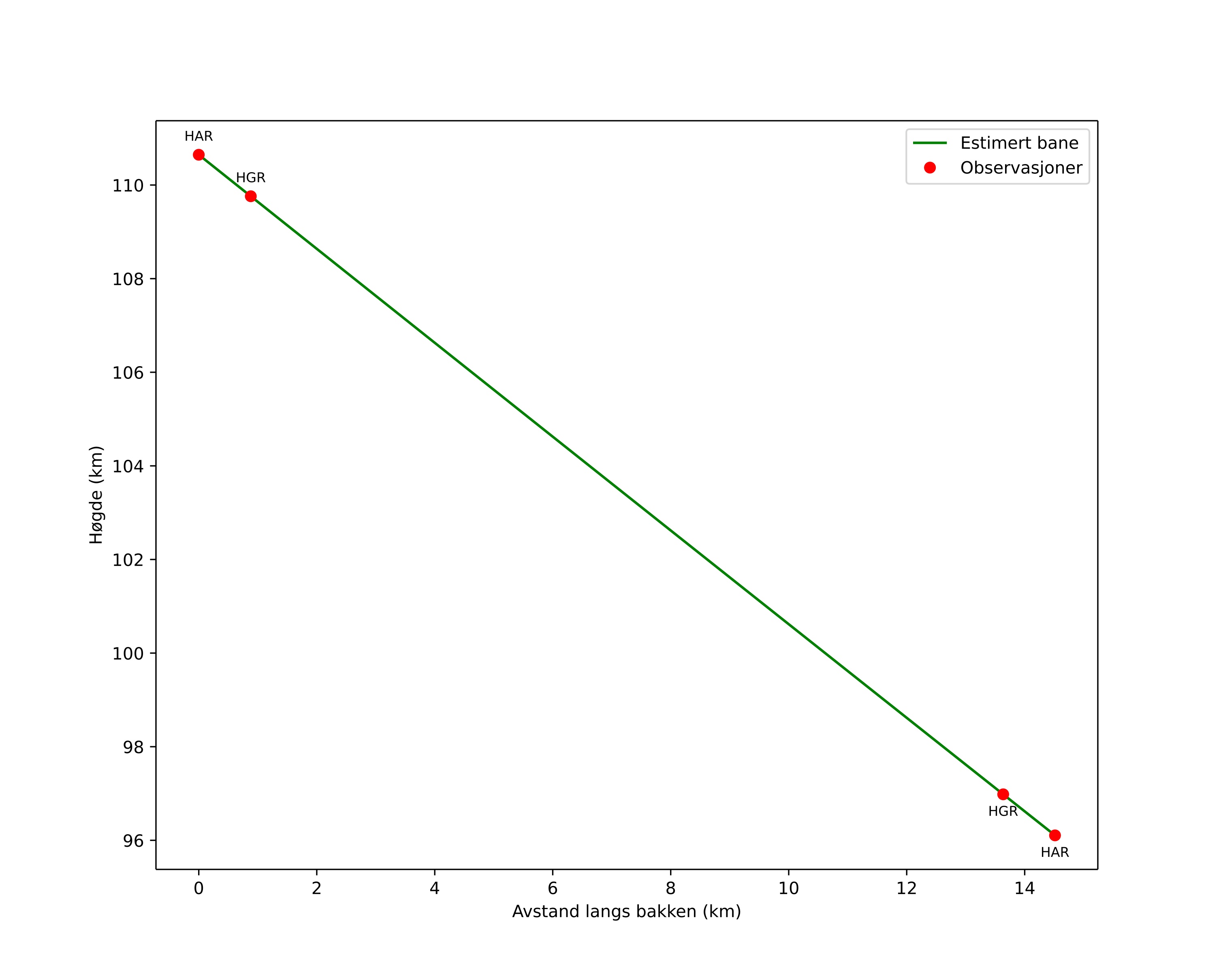
height profile
Meteorens atmosfæriske bane:
Starthøgde: 112,5 km
Slutthøgde: 95,2 km
Startposisjon: 60,656N 11,193E
Sluttposisjon: 60,810N 11,227E
Retning: 6,1°
Fallvinkel: 45,1°
Inngangshastighet: 68,9 km/s
Radiantens rektascensjon: 06:07 (91,8°)
Radiantens deklinasjon: 15,5°
Meteorsverm: Orionidene
Meteoroidens baneelement:
Perihelavstand: 0,615 AU
Eksentrisitet: 1,039
Inklinasjon: 163,8°
Knutelengde: 24,7°
Perihelargument: 75,5°
Midlere anomali: -0,6°
Epoke: 2025 OCT 18 03:55:24
orbit plot

Ikke-interaktivt plott | Interaktivt plott

position vs time
speed and acceleration

Hagar (HGR) cam7


gnomonic
Videoer
• Gnomonisk
• Gnomonisk med koordinater
• Original
• Original med koordinater
Bilder
• Gnomonisk
• Gnomonisk med koordinater
• Original
• Original med koordinater
Tekstfiler
• Deteksjon
• Observasjon
• Koordinater
• Logg
Lysstyrke

Harestua (HAR) cam6


gnomonic
Videoer
• Gnomonisk
• Gnomonisk med koordinater
• Original
• Original med koordinater
Bilder
• Gnomonisk
• Gnomonisk med koordinater
• Original
• Original med koordinater
Tekstfiler
• Deteksjon
• Observasjon
• Koordinater
• Logg
Lysstyrke