🇳🇴 🇬🇧 🇩🇪 🇨🇿 🇫🇮

Meteor über Skotterud 2025-10-18 19:04:00 UTC

KML-Datei

Die Karte zeigt die Peilungen für den Meteor. Die helleren Linien zeigen die Richtungen von den Beobachtungsorten beim Erscheinen des Meteors, und die dunkleren Linien, wo er zuletzt gesehen wurde. Der blaue Pfeil zeigt die sichtbare Bahn des Meteors.

static map
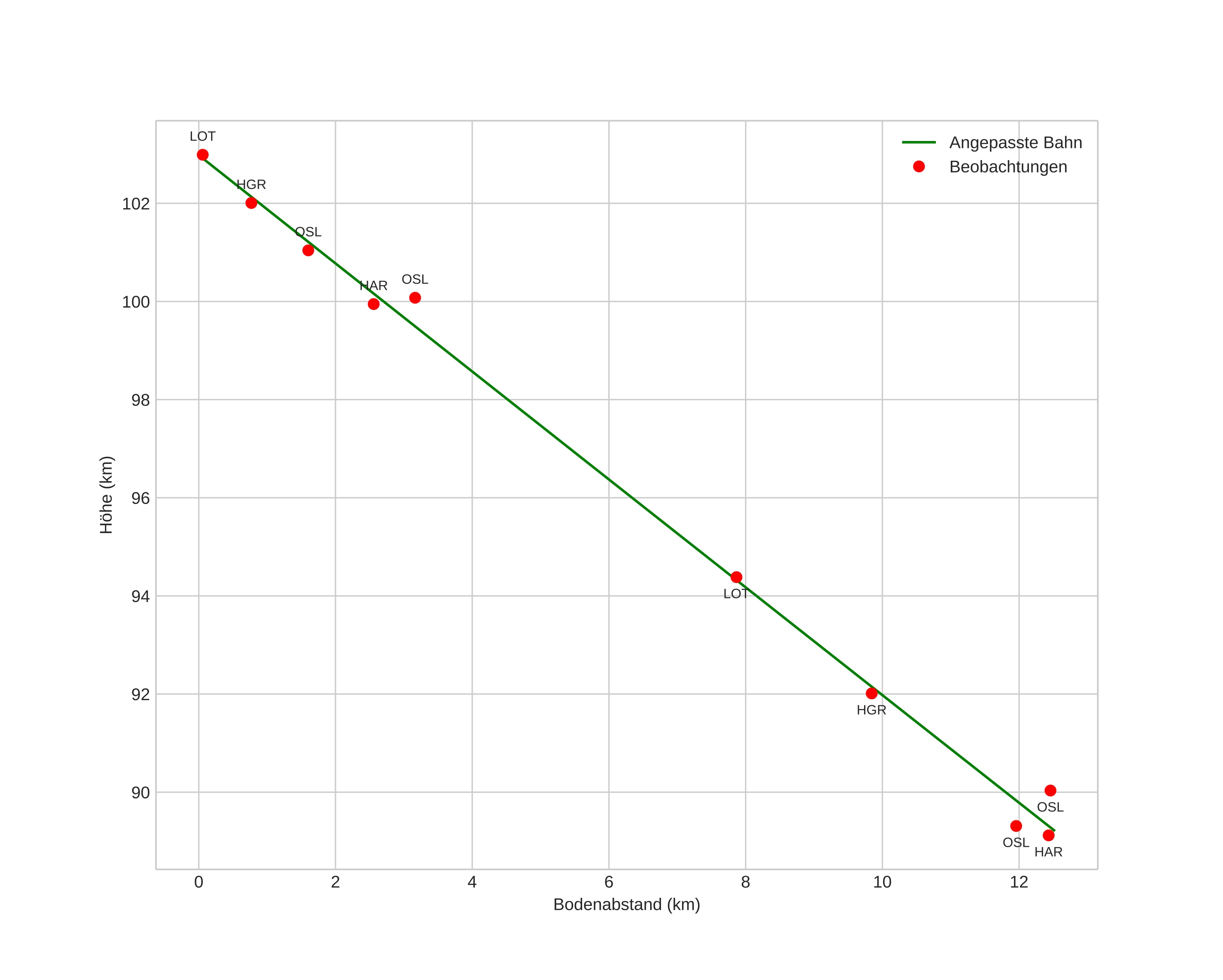
height profile
Atmosphärische Bahn des Meteors:
Anfangshöhe: 103,0 km
Endhöhe: 89,2 km
Startposition: 59,940N 12,032E
Endposition: 59,828N 12,021E
Richtung: 183,0°
Neigungswinkel: 47,8°
Eintrittsgeschwindigkeit: 45,3 km/s
Rektaszension des Radianten: 09:07 (136,8°)
Deklination des Radianten: 77,3°
Meteorstrom: sporadisch
Bahnelemente des Meteoroiden:
Periheldistanz: 0,981 AU
Exzentrizität: 0,576
Inklination: 80,8°
Länge des aufsteigenden Knotens: 205,3°
Argument des Perihels: 196,8°
Mittlere Anomalie: 356,3°
Epoche: 2025 OCT 18 19:04:00
orbit plot

Nicht-interaktives Diagramm

position vs time
speed and acceleration

Hagar (HGR) cam6


gnomonic
Videos
• Gnomonisch
• Gnomonisch mit Koordinaten
• Original
• Original (HEVC)
• Original mit Koordinaten
Bilder
• Gnomonisch
• Gnomonisch mit Koordinaten
• Original
• Original mit Koordinaten
Textdateien
• Erkennung
• Beobachtung
• Koordinaten
• Protokoll
Helligkeit

Harestua (HAR) cam7


gnomonic
Videos
• Gnomonisch
• Gnomonisch mit Koordinaten
• Original
• Original (HEVC)
• Original mit Koordinaten
Bilder
• Gnomonisch
• Gnomonisch mit Koordinaten
• Original
• Original mit Koordinaten
Textdateien
• Erkennung
• Beobachtung
• Koordinaten
• Protokoll
Helligkeit

Loten (LOT) cam7


gnomonic
Videos
• Gnomonisch
• Gnomonisch mit Koordinaten
• Original
• Original (HEVC)
• Original mit Koordinaten
Bilder
• Gnomonisch
• Gnomonisch mit Koordinaten
• Original
• Original mit Koordinaten
Textdateien
• Erkennung
• Beobachtung
• Koordinaten
• Protokoll
Helligkeit

Voksenlia (OSL) cam5


gnomonic
Videos
• Gnomonisch
• Gnomonisch mit Koordinaten
• Original
• Original (HEVC)
• Original mit Koordinaten
Bilder
• Gnomonisch
• Gnomonisch mit Koordinaten
• Original
• Original mit Koordinaten
Textdateien
• Erkennung
• Beobachtung
• Koordinaten
• Protokoll
Helligkeit

Voksenlia (OSL) cam6


gnomonic
Videos
• Gnomonisch
• Gnomonisch mit Koordinaten
• Original
• Original (HEVC)
• Original mit Koordinaten
Bilder
• Gnomonisch
• Gnomonisch mit Koordinaten
• Original
• Original mit Koordinaten
Textdateien
• Erkennung
• Beobachtung
• Koordinaten
• Protokoll
Helligkeit