🇳🇴 🇬🇧 🇩🇪 🇨🇿 🇫🇮

Meteor Dalenin yllä 2025-10-18 19:41:54 UTC

KML-tiedosto

Kartta näyttää meteorin suuntahavainnot. Vaaleammat viivat näyttävät suunnat havaintoasemilta meteorin ilmestyessä, ja tummemmat viivat näyttävät, missä se viimeksi nähtiin. Sininen nuoli näyttää meteorin näkyvän lennon.

static map
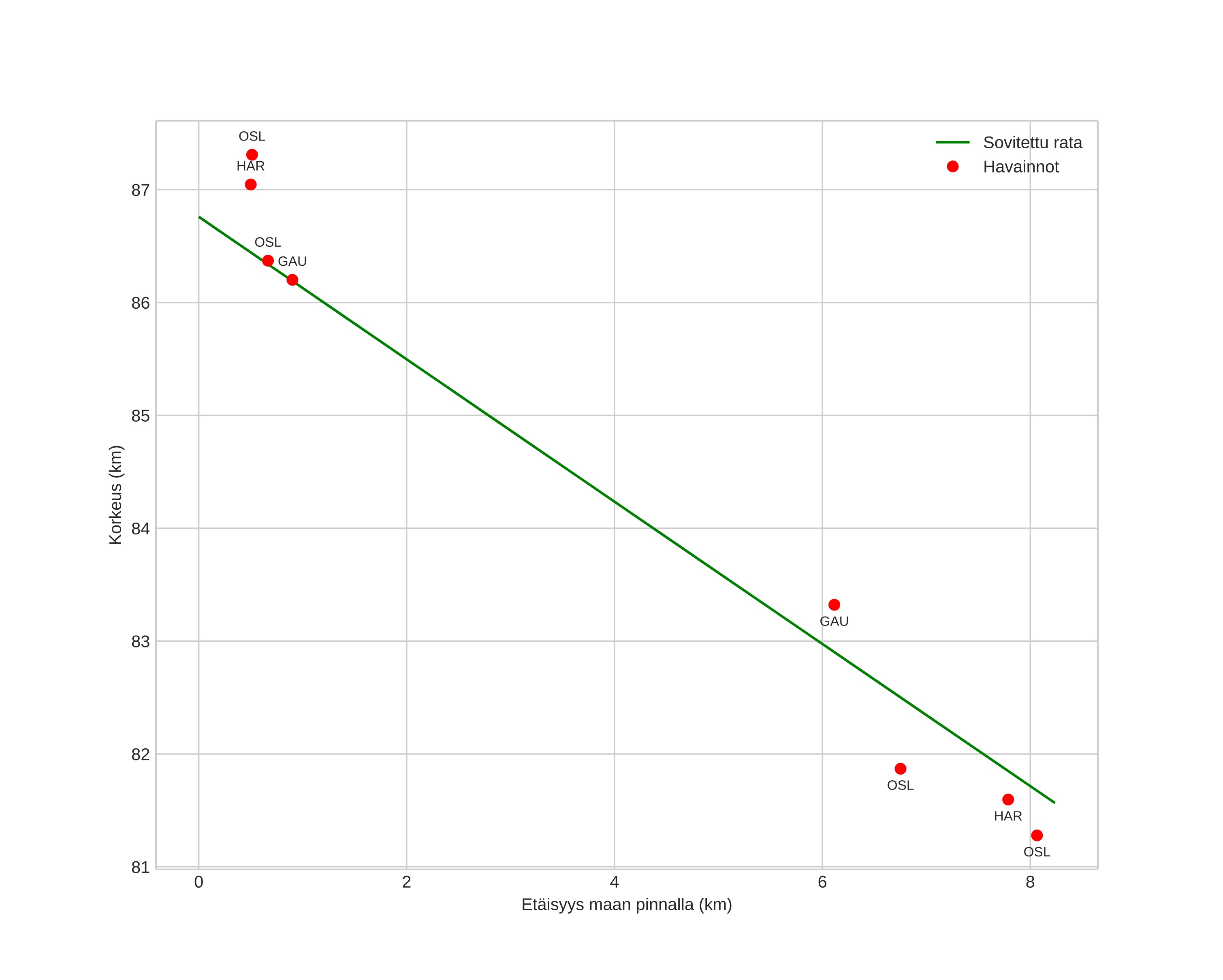
height profile
Meteorin ilmakehärata:
Alkukorkeus: 86,8 km
Loppukorkeus: 81,6 km
Alkupiste: 59,584N 8,109E
Loppupiste: 59,511N 8,130E
Suunta: 171,9°
Kallistuskulma: 32,3°
Tulonopeus: 25,9 km/s
Radiantin R,A,: 11:02 (165,6°)
Radiantin Dekl,: 59,0°
Meteoriparvi: Sporadinen
Meteoroidin rataelementit:
Perihelietäisyys: 0,413 AU
Eksentrisyys: 0,431
Inklinaatio: 48,7°
Nousevan solmun pituus: 205,3°
Perihelin argumentti: 19,2°
Keskianomalia: 137,7°
Epookki: 2025 OCT 18 19:41:54
orbit plot

Ei-interaktiivinen kuvaaja

position vs time
speed and acceleration

Gaustatoppen (GAU) cam7


gnomonic
Videot:
• Gnomoninen
• Gnomoninen koordinaateilla
• Alkuperäinen
• Alkuperäinen (HEVC)
• Alkuperäinen koordinaateilla
Kuvat:
• Gnomoninen
• Gnomoninen koordinaateilla
• Alkuperäinen
• Alkuperäinen koordinaateilla
Tekstitiedostot:
• Havaintoraportti
• Observaatio
• Koordinaatit
• Loki
Kirkkaus

Harestua (HAR) cam4


gnomonic
Videot:
• Gnomoninen
• Gnomoninen koordinaateilla
• Alkuperäinen
• Alkuperäinen (HEVC)
• Alkuperäinen koordinaateilla
Kuvat:
• Gnomoninen
• Gnomoninen koordinaateilla
• Alkuperäinen
• Alkuperäinen koordinaateilla
Tekstitiedostot:
• Havaintoraportti
• Observaatio
• Koordinaatit
• Loki
Kirkkaus

Voksenlia (OSL) cam2


gnomonic
Videot:
• Gnomoninen
• Gnomoninen koordinaateilla
• Alkuperäinen
• Alkuperäinen (HEVC)
• Alkuperäinen koordinaateilla
Kuvat:
• Gnomoninen
• Gnomoninen koordinaateilla
• Alkuperäinen
• Alkuperäinen koordinaateilla
Tekstitiedostot:
• Havaintoraportti
• Observaatio
• Koordinaatit
• Loki
Kirkkaus

Voksenlia (OSL) cam3


gnomonic
Videot:
• Gnomoninen
• Gnomoninen koordinaateilla
• Alkuperäinen
• Alkuperäinen (HEVC)
• Alkuperäinen koordinaateilla
Kuvat:
• Gnomoninen
• Gnomoninen koordinaateilla
• Alkuperäinen
• Alkuperäinen koordinaateilla
Tekstitiedostot:
• Havaintoraportti
• Observaatio
• Koordinaatit
• Loki
Kirkkaus