🇳🇴 🇬🇧 🇩🇪 🇨🇿 🇫🇮

Meteor over Flisa 2025-10-18 21:05:37 UTC

KML file

The map shows the bearings for the meteor. The lighter lines show the directions from the observation sites at the meteor's appearance, and the darker lines show where it was last seen. The blue arrow indicates the visible path of the meteor.

static map
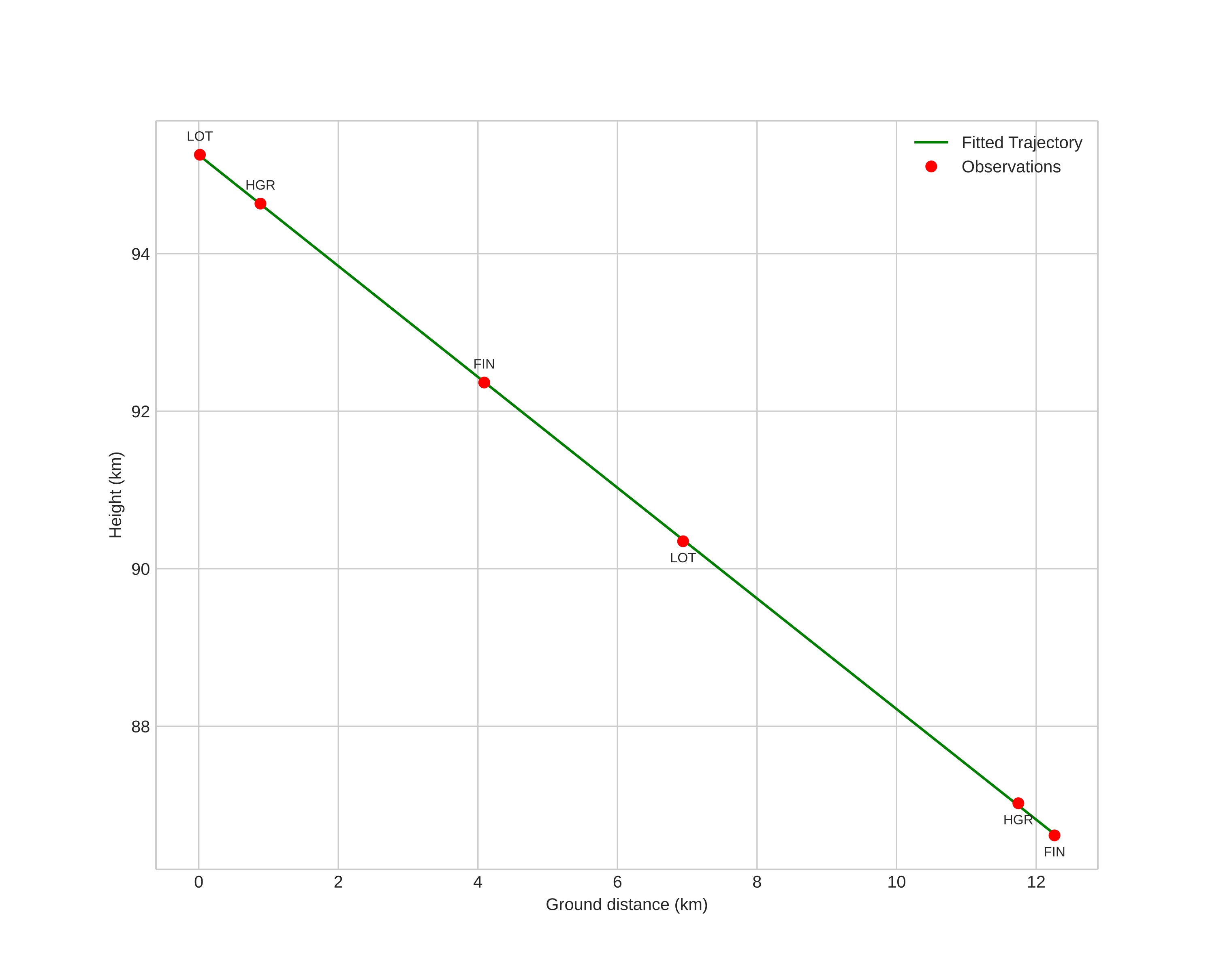
height profile
Meteor's Atmospheric Trajectory:
Start height: 95.3 km
End height: 86.6 km
Start position: 60.592N 12.470E
End position: 60.650N 12.279E
Direction: 301.9°
Inclination angle: 35.3°
Entry speed: 26.6 km/s
Radiant R.A.: 02:53 (43.3°)
Radiant Dec.: 14.4°
Meteor Shower: Southern Taurids
Meteoroid's Orbital Elements:
Perihelion distance: 0.308 AU
Eccentricity: 0.732
Inclination: 2.3°
Long. of Asc. Node: 25.4°
Argument of Perihelion: 129.5°
Mean Anomaly: 321.6°
Epoch: 2025 OCT 18 21:05:37
orbit plot

Non-interactive plot

position vs time
speed and acceleration

Finnskogen (FIN) cam7


gnomonic
Videos
• Gnomonic
• Gnomonic with coordinates
• Original
• Original (HEVC)
• Original with coordinates
Images
• Gnomonic
• Gnomonic with coordinates
• Original
• Original with coordinates
Text Files
• Detection
• Observation
• Coordinates
• Log
Brightness

Hagar (HGR) cam3


gnomonic
Videos
• Gnomonic
• Gnomonic with coordinates
• Original
• Original (HEVC)
• Original with coordinates
Images
• Gnomonic
• Gnomonic with coordinates
• Original
• Original with coordinates
Text Files
• Detection
• Observation
• Coordinates
• Log
Brightness

Loten (LOT) cam7


gnomonic
Videos
• Gnomonic
• Gnomonic with coordinates
• Original
• Original (HEVC)
• Original with coordinates
Images
• Gnomonic
• Gnomonic with coordinates
• Original
• Original with coordinates
Text Files
• Detection
• Observation
• Coordinates
• Log
Brightness