🇳🇴 🇬🇧 🇩🇪 🇨🇿 🇫🇮

Meteor, poloha: Farsund 2025-10-18 22:58:32 UTC

Soubor KML

Mapa zobrazuje dráhy meteoru. Světlejší čáry ukazují směry od pozorovacích stanic při objevení se meteoru a tmavší čáry, kde byl naposledy viděn. Modrá šipka značí viditelnou dráhu meteoru.

static map
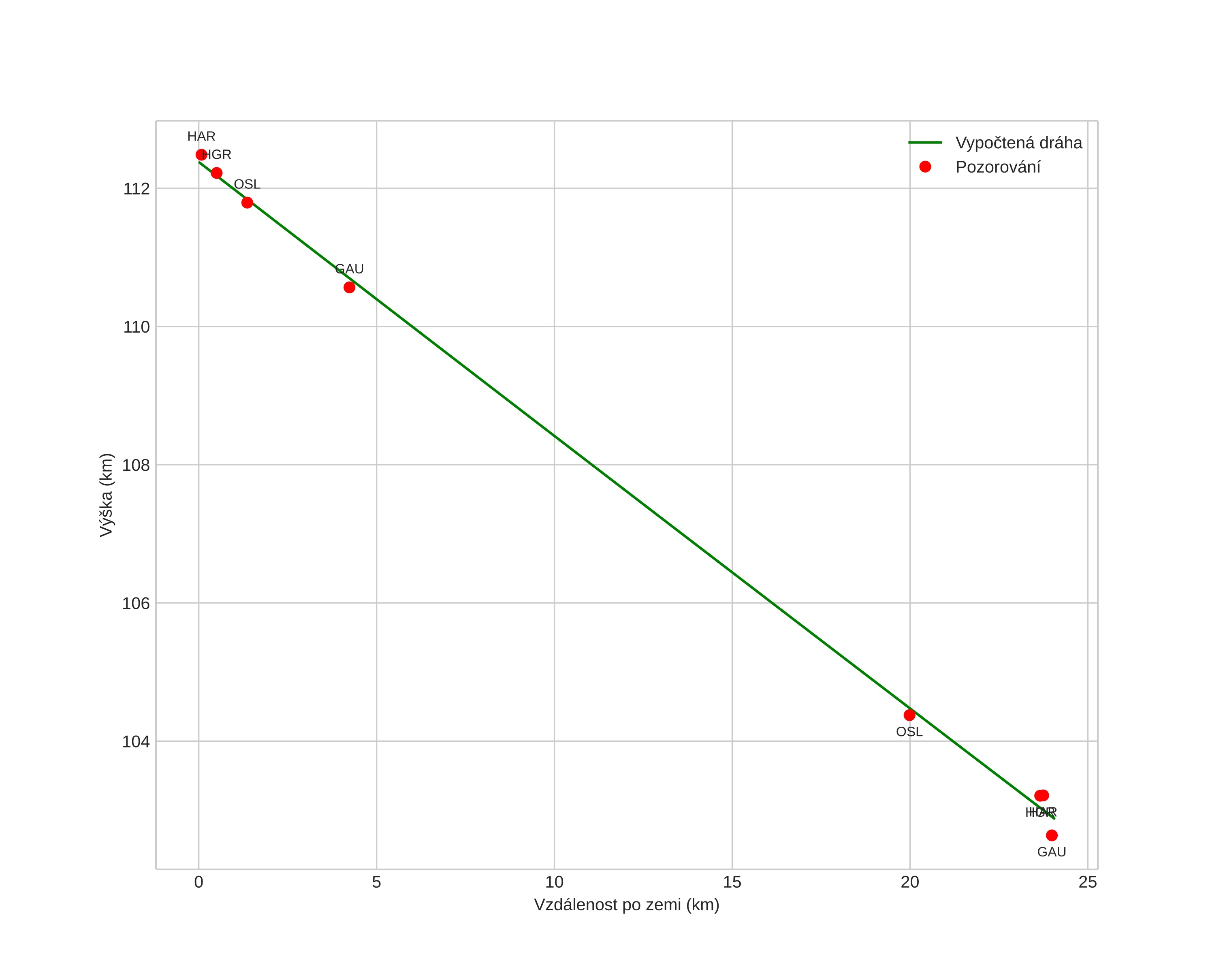
height profile
Atmosférická dráha meteoru:
Počáteční výška: 112,4 km
Konečná výška: 102,9 km
Počáteční poloha: 57,699N 7,305E
Konečná poloha: 57,712N 6,901E
Směr: 273,6°
Sklon: 21,5°
VstupnĂ­ rychlost: 67,2 km/s
Rektascenze radiantu: 06:18 (94,5°)
Deklinace radiantu: 15,8°
MeteorickĂ˝ roj: Orionidy
Elementy dráhy meteoroidu:
Vzdálenost v periheliu: 0,621 AU
Excentricita: 0,892
Sklon dráhy: 164,4°
Délka vzestupného uzlu: 25,5°
Argument perihelia: 78,3°
Střední anomálie: 357,2°
Epocha: 2025 OCT 18 22:58:32
orbit plot

NeinteraktivnĂ­ graf

position vs time
speed and acceleration

Gaustatoppen (GAU) cam4


gnomonic
Videa
• Gnomonická
• Gnomonická se souřadnicemi
• Původní
• Původní (HEVC)
• Původní se souřadnicemi
Obrázky
• Gnomonická
• Gnomonická se souřadnicemi
• Původní
• Původní se souřadnicemi
Textové soubory
• Detekce
• Pozorování
• Souřadnice
• Protokol
Jasnost

Hagar (HGR) cam5


gnomonic
Videa
• Gnomonická
• Gnomonická se souřadnicemi
• Původní
• Původní (HEVC)
• Původní se souřadnicemi
Obrázky
• Gnomonická
• Gnomonická se souřadnicemi
• Původní
• Původní se souřadnicemi
Textové soubory
• Detekce
• Pozorování
• Souřadnice
• Protokol
Jasnost

Harestua (HAR) cam4


gnomonic
Videa
• Gnomonická
• Gnomonická se souřadnicemi
• Původní
• Původní (HEVC)
• Původní se souřadnicemi
Obrázky
• Gnomonická
• Gnomonická se souřadnicemi
• Původní
• Původní se souřadnicemi
Textové soubory
• Detekce
• Pozorování
• Souřadnice
• Protokol
Jasnost

Voksenlia (OSL) cam3


gnomonic
Videa
• Gnomonická
• Gnomonická se souřadnicemi
• Původní
• Původní (HEVC)
• Původní se souřadnicemi
Obrázky
• Gnomonická
• Gnomonická se souřadnicemi
• Původní
• Původní se souřadnicemi
Textové soubory
• Detekce
• Pozorování
• Souřadnice
• Protokol
Jasnost